• ISSN 1673-5722
  • CN 11-5429/P

近断层脉冲型地震动作用下考虑波动效应的梁桥破坏分析

夏春旭 张倩

夏春旭,张倩,2024. 近断层脉冲型地震动作用下考虑波动效应的梁桥破坏分析. 震灾防御技术,19(1):130−139. doi:10.11899/zzfy20240113. doi: 10.11899/zzfy20240113
引用本文: 夏春旭,张倩,2024. 近断层脉冲型地震动作用下考虑波动效应的梁桥破坏分析. 震灾防御技术,19(1):130−139. doi:10.11899/zzfy20240113. doi: 10.11899/zzfy20240113
Xia Chunxu, Zhang Qian. Damage Analysis of Girder Bridge Under Near-fault Pulse-like Earthquake Motion Considering Wave Propagation Effect[J]. Technology for Earthquake Disaster Prevention, 2024, 19(1): 130-139. doi: 10.11899/zzfy20240113
Citation: Xia Chunxu, Zhang Qian. Damage Analysis of Girder Bridge Under Near-fault Pulse-like Earthquake Motion Considering Wave Propagation Effect[J]. Technology for Earthquake Disaster Prevention, 2024, 19(1): 130-139. doi: 10.11899/zzfy20240113

近断层脉冲型地震动作用下考虑波动效应的梁桥破坏分析

doi: 10.11899/zzfy20240113
基金项目: 大连大学博士启动专项基金(2020QL006);辽宁省岩土与结构工程技术研究中心开放基金(DLSZD2023[006]);大连市科技创新基金(2023JJ12GX012)
详细信息
    作者简介:

    夏春旭,男,生于1988年。讲师,博士。主要从事近断层脉冲特征分析、工程结构抗震性能分析方面的工作。E-mail:xiachunxu@dlu.edu.cn

Damage Analysis of Girder Bridge Under Near-fault Pulse-like Earthquake Motion Considering Wave Propagation Effect

  • 摘要: 在近断层地震动激励的初始阶段,输入地震动从结构底部以波动形式向上传播,然而波动效应对近断层脉冲型地震动作用下梁桥结构地震破坏过程的影响特征尚不明确。为此,利用数值分析方法对某三跨梁桥在近断层脉冲型地震动作用下考虑波动效应的破坏过程、破坏机理开展研究。研究结果表明,在近断层脉冲型地震动作用下,墩柱底部截面曲率发展较合理,梁桥墩顶支座抗震能力较强,梁桥桥台处容许剪切位移是桥梁结构的抗震弱点,因此,在近断层地区的梁桥桥台抗震措施设计中应保证具有充足的容许剪切位移。
  • 图  1  三跨梁桥有限元模型示意

    Figure  1.  Schematic diagram for the finite element model of three-span girder bridge

    图  2  EFBC单元示意

    Figure  2.  Schematic diagram for the EFBC element

    图  3  混凝土材料本构

    Figure  3.  Uniaxial material model for concrete

    图  4  钢筋材料本构

    Figure  4.  Uniaxial material model for steel

    图  5  地震记录RSN77

    Figure  5.  Seismic record of RSN77

    图  6  RSN77作用下左墩不同高度结点纵桥向位移时程

    Figure  6.  Nodal displacement of variant height along the left pier under RSN77 seismic excitation

    图  7  墩柱截面弯矩-曲率关系曲线

    Figure  7.  Moment-curvature relationship of pier section

    图  8  桥台支座纵桥向位移响应

    Figure  8.  Abutment displacement response in longitudinal direction

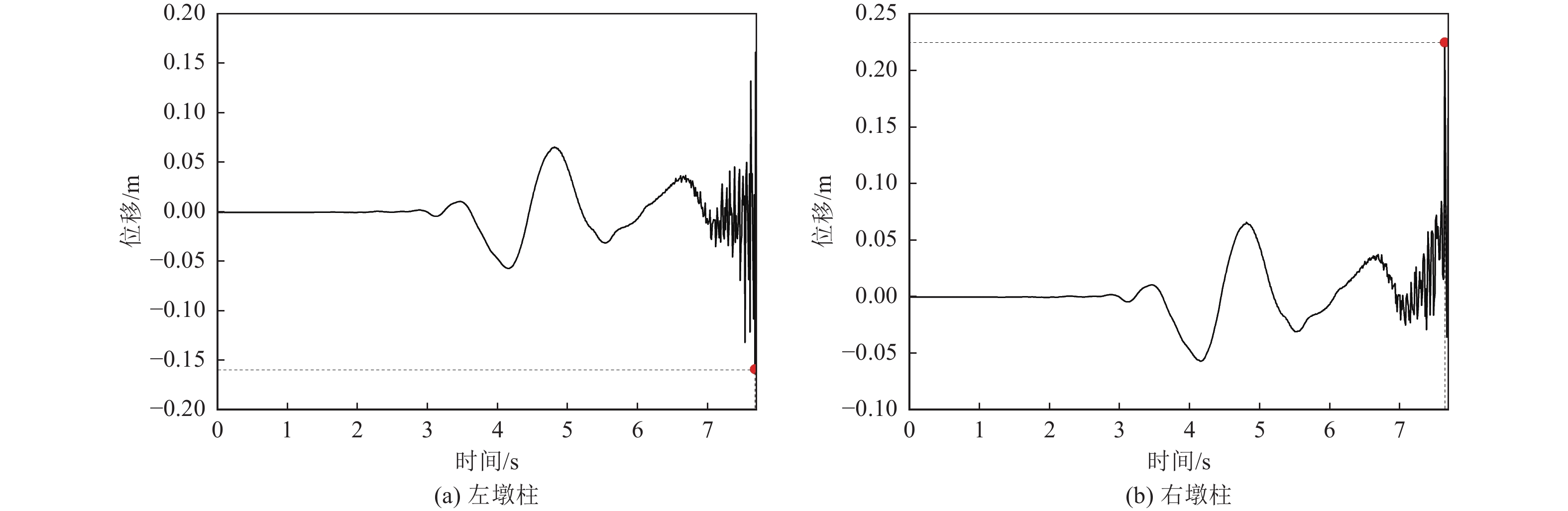
    图  9  墩顶纵桥向相对位移响应

    Figure  9.  Relative longitudinal displacement of pier top

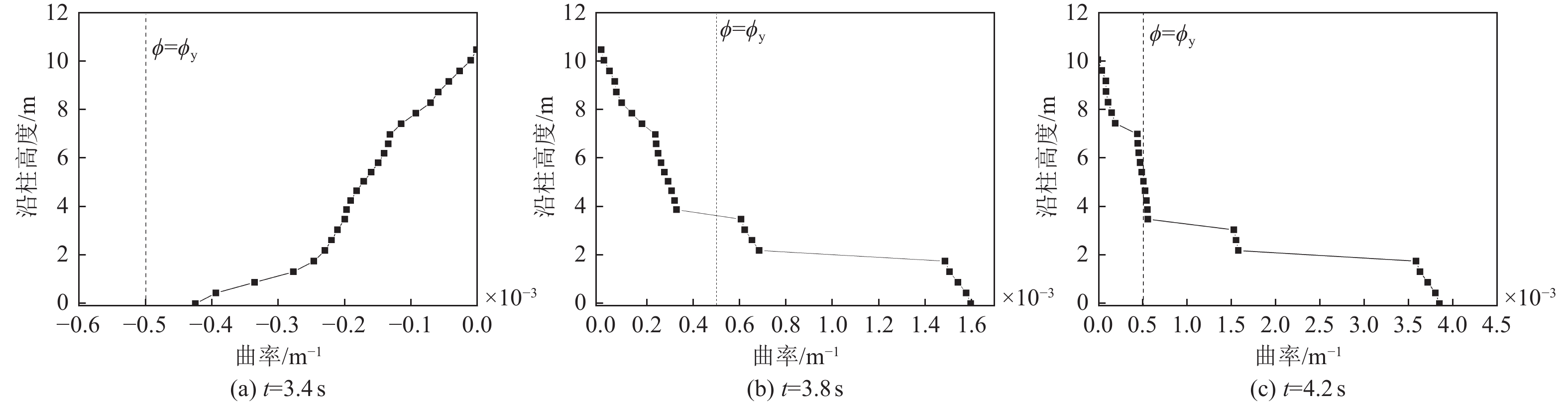
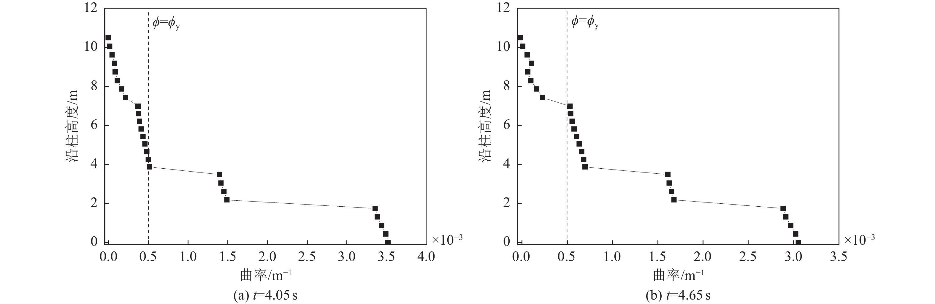
    图  10  截面曲率沿墩柱高度分布

    Figure  10.  Section curvature distribution along the pier height

    图  11  支座顺桥向位移响应

    Figure  11.  Longitudinal displacement of bridge bearing

    图  12  地震动RSN77作用下构件失效过程

    Figure  12.  Failure process of structural members under the seismic excitation of RSN77

    图  13  不同时刻左墩柱截面曲率沿墩高分布情况

    Figure  13.  Section curvature distribution of height along the left pier at different time

    表  1  混凝土材料本构参数

    Table  1.   Parameters for the core and cover concrete material

    材料参数峰值压应力$ /\mathrm{M}\mathrm{P}\mathrm{a} $峰值压应变$ {\varepsilon }_{0} $$ \mathrm{压}\mathrm{溃}\mathrm{应}\mathrm{力}/\mathrm{M}\mathrm{P}\mathrm{a} $压溃应变${\varepsilon }_{{\rm{u}}}$峰值拉应力$ /\mathrm{M}\mathrm{P}\mathrm{a} $软化刚度$ /\mathrm{G}\mathrm{P}\mathrm{a} $
    核心层−30.85−0.002 1−6.2−0.0122.16300
    保护层−30.00−0.002 0−6.0−0.0052.10300
    下载: 导出CSV

    表  2  不同国家规范给出的等效塑性铰长度计算公式

    Table  2.   Computing formula for the equivalent length of pier plastic hinge in China, USA, Europe and Japan

    规范名称等效塑性铰长度$ {L}_{\mathrm{p}} $计算公式按规范公式计算
    得到的$ {L}_{\mathrm{p}} $/m
    美国Version 1.7《Seismic design criteria$0.08 L+0.022{f}_{{\rm{s}}}{d}_{{\rm{s}}}$0.86
    中国JTG/T 2231-01—2020《公路桥梁抗震设计规范》
    $0.08 L+0.022{f}_{{\rm{s}}}{d}_{{\rm{s}}}\geqslant \mathrm{m}\mathrm{i}\mathrm{n}\left(0.044{f}_{{\rm{s}}}{d}_{{\rm{s}}},2/3 h\right)$0.86
    欧洲BS EN 1998-2: 2005+A2:2011《Eurocode 8-Design of structures for earthquake resistance-part 2: bridges$0.1 L+0.015{f}_{{\rm{s}}}{d}_{{\rm{s}}}$1.18
    日本《Specifications for highway bridges-part V seismic design$0.2 L-0.1 h;0.1 h\leqslant{L}_{{\rm{p}}}\leqslant 0.5 h$0.75
    下载: 导出CSV
  • 姜迎春, 2013. 结构地震响应波动分析的被研究块体方法. 大连: 大连理工大学.

    Jiang Y. C. , 2013. Investigated lump method for wave propagation analysis of earthquake response of structure. Dalian: Dalian University of Technology. (in Chinese)
    罗韧, 许慧荣, 李鸿晶等, 2010. 汶川地震中百花大桥倒塌模拟分析. 土木建筑与环境工程, 32(S2): 49—51.
    吕大刚, 王光远, 2001. 基于损伤性能的抗震结构最优设防水准的决策方法. 土木工程学报, 34(1): 44—49

    Lü D. G. , Wang G. Y. , 2001. Decision-making method of optimal fortification level for aseismic structures based on damage performance. China Civil Engineering Journal, 34(1): 44—49. (in Chinese)
    邵光强, 刘开, 蒋丽忠等, 2017. 高速铁路桥墩等效塑性铰长度研究. 铁道工程学报, 34(7): 53—59

    Shao G. Q. , Liu K. , Jiang L. Z. , et al. , 2017. Study of plastic hinge length in high-speed railway bridge piers. Journal of Railway Engineering Society, 34(7): 53—59. (in Chinese)
    王伟军, 虞庐松, 李子奇等, 2022. 近断层地震特性对隔震曲线连续梁桥地震响应的影响. 地震工程学报, 44(1): 86—92, 127

    Wang W. J. , Yu L. S. , Li Z. Q. , et al. , 2022. Influence of near-fault ground motion characteristics on the seismic response of isolated continuous curved girder bridges. China Earthquake Engineering Journal, 44(1): 86—92, 127. (in Chinese)
    夏春旭, 2020. 近断层地震动脉冲识别及考虑波动效应的桥梁地震破坏分析. 大连: 大连理工大学.

    Xia C. X. , 2020. Pulse identification of near-fault earthquake ground motion and analysis of the seismic damage of bridge considering wave-propagation effect. Dalian: Dalian University of Technology. (in Chinese)
    杨伟, 欧进萍, 2009. 基于能量原理的Park & Ang损伤模型简化计算方法. 地震工程与工程振动, 29(2): 159—165

    Yang W. , Ou J. P. , 2009. A simplified method for computing Park & Ang damage model based on energy concept. Journal of Earthquake Engineering and Engineering Vibration, 29(2): 159—165. (in Chinese)
    曾永平, 董俊, 陈克坚等, 2020. 近断层高铁简支梁桥抗震性能分析研究. 铁道工程学报, 37(12): 70—76

    Zeng Y. P. , Dong J. , Chen K. J. , et al. , 2020. Research on the seismic performance of simply supported beam bridge of near-fault high-speed railway. Journal of Railway Engineering Society, 37(12): 70—76. (in Chinese)
    张海燕, 樊燕燕, 李江龙, 2022. 铁路梁式桥地震灾害损失评估. 世界地震工程, 38(1): 139—147

    Zhang H. Y. , Fan Y. Y. , Li J. L. , 2022. Earthquake disaster loss assessment of railway beam bridge. World Earthquake Engineering, 38(1): 139—147. (in Chinese)
    张鹏, 2018. 跨断层简支梁桥的概率性地震损伤特性研究. 北京: 北京交通大学.

    Zhang P. , 2018. Study on the probabilistic seismic damage character of simply supported girder bridge under fault-crossing earthquakes. Beijing: Beijing Jiaotong University. (in Chinese)
    Beolchini G. C., Galeota D., Giammatteo M. M., et al., 2000. Seismic behavior of high strength RC columns. In: Proceedings of the 12 th World Conference on Earthquake Engineering. Auckland: WCEE, 1—8.
    Bi K. M. , Ren W. X. , Cheng P. F. , et al. , 2015. Domino-type progressive collapse analysis of a multi-span simply-supported bridge: a case study. Engineering Structures, 90: 172—182. doi: 10.1016/j.engstruct.2015.02.023
    Priestley M. J. N. , Park R. , 1987. Strength and ductility of concrete bridge columns under seismic loading. ACI Structural Journal, 84(1): 61—76.
    Salem H. M. , Helmy H. M. , 2014. Numerical investigation of collapse of the Minnesota I-35 W bridge. Engineering Structures, 59: 635—645. doi: 10.1016/j.engstruct.2013.11.022
    Xia C. X. , Liu C. G. , 2018. Explicit fiber element and its application to piers under multipulse near-fault earthquake motion. The Structural Design of Tall and Special Buildings, 27(18): e1547. doi: 10.1002/tal.1547
    Xia C. X. , Liu C. G. , 2019. Identification and representation of multi-pulse near-fault strong ground motion using adaptive wavelet transform. Applied Sciences, 9(2): 259. doi: 10.3390/app9020259
    Xu Z. , Lu X. Z. , Guan H. , et al. , 2013. Progressive-collapse simulation and critical region identification of a stone arch bridge. Journal of Performance of Constructed Facilities, 27(1): 43—52. doi: 10.1061/(ASCE)CF.1943-5509.0000329
    Ye L. P. , Otani S. , 1999. Maximum seismic displacement of inelastic systems based on energy concept. Earthquake Engineering & Structural Dynamics, 28(12): 1483—1499.
    Zhou R. , Zong Z. H. , Huang X. Y. , et al. , 2014. Seismic response study on a multi-span cable-stayed bridge scale model under multi-support excitations. Part II: numerical analysis. Journal of Zhejiang University-SCIENCE A, 15(6): 405—418. doi: 10.1631/jzus.A1300340
    Zong Z. H. , Xia Z. H. , Liu H. H. , et al. , 2016. Collapse failure of prestressed concrete continuous rigid-frame bridge under strong earthquake excitation: testing and simulation. Journal of Bridge Engineering, 21(9): 04016047. doi: 10.1061/(ASCE)BE.1943-5592.0000912
  • 加载中
图(13) / 表(2)
计量
  • 文章访问数:  127
  • HTML全文浏览量:  107
  • PDF下载量:  18
  • 被引次数: 0
出版历程
  • 收稿日期:  2022-04-15
  • 刊出日期:  2024-03-31

目录

    /

    返回文章
    返回