• ISSN 1673-5722
  • CN 11-5429/P

基于自适应ANN的高效核电设备易损性分析方法研究

刘鸿泉 陈少林 孙晓颖 吴绍恒

刘鸿泉,陈少林,孙晓颖,吴绍恒,2024. 基于自适应ANN的高效核电设备易损性分析方法研究. 震灾防御技术,19(1):108−118. doi:10.11899/zzfy20240111. doi: 10.11899/zzfy20240111
引用本文: 刘鸿泉,陈少林,孙晓颖,吴绍恒,2024. 基于自适应ANN的高效核电设备易损性分析方法研究. 震灾防御技术,19(1):108−118. doi:10.11899/zzfy20240111. doi: 10.11899/zzfy20240111
Liu Hongquan, Chen Shaolin, Sun Xiaoying, Wu Shaoheng. High-efficiency Fragility Analysis Method of NPP Equipment Based on Adaptive ANN[J]. Technology for Earthquake Disaster Prevention, 2024, 19(1): 108-118. doi: 10.11899/zzfy20240111
Citation: Liu Hongquan, Chen Shaolin, Sun Xiaoying, Wu Shaoheng. High-efficiency Fragility Analysis Method of NPP Equipment Based on Adaptive ANN[J]. Technology for Earthquake Disaster Prevention, 2024, 19(1): 108-118. doi: 10.11899/zzfy20240111

基于自适应ANN的高效核电设备易损性分析方法研究

doi: 10.11899/zzfy20240111
基金项目: 国家自然科学基金(U2039209、51978337);“华龙一号及在役核电机组关键技术装备攻关工程项目—核电厂结构分析软件”项目(2003-105)
详细信息
    作者简介:

    刘鸿泉,男,生于1996年。博士研究生。主要从事核电地震安全性评价方面的工作。E-mail: liuhongquan_nuaa@nuaa.edu.cn

    通讯作者:

    陈少林,男,生于1974年。博士生导师,教授。主要从事地震工程研究工作。E-mail: iemcsl@nuaa.edu.cn

High-efficiency Fragility Analysis Method of NPP Equipment Based on Adaptive ANN

  • 摘要: 传统的结构或设备易损性分析方法需要提供大量的数值模拟样本,这对于规模庞大的核电结构并不适用。为此,研究核电设备高效易损性分析方法,首先,基于拉丁立方法构建随机地震动-土-结构样本,采用高效时域SSI分区并行计算方法得到部分样本模型的地震响应;然后,采用有限的数值模拟结果训练人工神经网络模型(ANN),通过量化ANN预测误差和精确度指标,采用自适应算法进行后续数值模拟和ANN训练,直至满足精确度阈值要求。该方法可以优化计算样本的选择,控制数值模拟的样本数量,提高易损性分析的计算效率。此外,将ANN不确定性整合到易损性曲线计算公式中,分别基于对数正态假定的回归法和蒙特卡洛(MC)增量法对某核电设备进行了易损性分析,并验证了ANN不确定性量化方法的正确性。
  • 图  1  基于自适应ANN的易损性分析方法流程

    Figure  1.  Flowchart of fragility analysis method based on adaptive ANN

    图  2  数值模拟工作流程

    Figure  2.  Numerical simulation workflow

    图  3  3层BP网络示意

    Figure  3.  Schematic diagram of three-layer BP network

    图  4  土-结构有限元模型

    Figure  4.  Soil-structure finite element model

    图  5  设计反应谱及150条地震反应谱

    Figure  5.  Design response spectrum and 150 seismic response spectrums

    图  6  不同工况的10-折交叉检验(隐藏层单元数目为1)

    Figure  6.  10-fold cross validation for different cases (number of hidden layer neurons is 1)

    图  7  基于回归法的易损性曲线

    Figure  7.  Fragility curves calculated by regression method

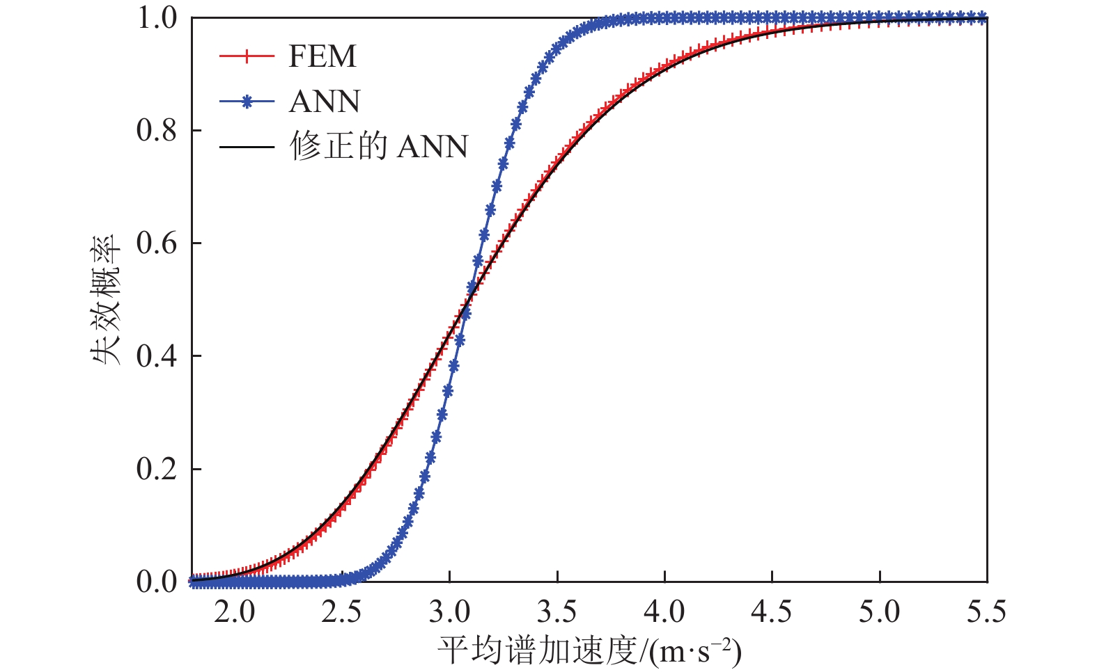
    图  8  Case3工况下设备易损性曲线

    Figure  8.  Equipment fragility curves under Case 3 condition

    表  1  核电结构及土层材料不确定性

    Table  1.   Uncertainties in material parameters of NPP and soil

    结构土层
    结构类型弹性模量/GPa变异系数名称剪切波速/(m·s−2变异系数
    NAB24.70.2L15600.2
    NSB32.90.2L26730.2
    SCV210.00.2L37940.2
    下载: 导出CSV

    表  2  地震动特征值

    Table  2.   Seismic intensity measures

    地震动特征值定义RRSP地震动特征值定义RRSP
    峰值加速度(PGA)$ \max \left| {a(t)} \right| $0.730.18累计绝对速度(CAV)$\displaystyle \int_0^{{t_{{\text{total}}}}} {\left| {a(t)} \right|{\rm{d}}t} $0.380.03
    峰值速度(PGV)$ \max \left| {v(t)} \right| $0.29−0.13最大反应谱(PSa, max$ \max (PS_{\rm{a}}(T)) $0.58−0.03
    峰值位移(PGD)$ \max \left| {d(t)} \right| $0.360.07显著周期(Tp$ \arg \max (PS_{\rm{a}}(T)) $−0.260.16
    阿里亚斯烈度(IA$ \dfrac{{\text{π}} }{{2 g}}\displaystyle\int_0^{{t_{{\text{total}}}}} {a{{(t)}^2}{\rm{d}}t} $0.49−0.03平均谱加速度(ASA)$ \displaystyle\int_5^{33} {PS_{\rm{a}}(f){\rm{d}}f} $0.850.33
    注:R为相关系数,RSP为半偏相关系数
    下载: 导出CSV
  • 陈少林, 唐敢, 刘启方等, 2010. 三维土-结构动力相互作用的一种时域直接分析方法. 地震工程与工程振动, 30(2): 24—31

    Chen S. L. , Tang G. , Liu Q. F. , et al. , 2010. A direct time-domain method for analysis of three-dimensional soil-structure dynamic interaction. Journal of Earthquake Engineering and Engineering Vibration, 30(2): 24—31. (in Chinese)
    陈少林, 王俊泉, 刘启方等, 2017. 基于显-隐式格式的三维时域土-结相互作用分析的异步并行算法. 中国科学: 技术科学, 47(12): 1321—1330 doi: 10.1360/N092017-00212

    Chen S. L. , Wang J. Q. , Liu Q. F. , et al. , 2017. Asynchronous parallel algorithm for three-dimensional soil-structure interaction analysis based on explicit-implicit integration scheme. Scientia Sinica Technologica, 47(12): 1321—1330. (in Chinese) doi: 10.1360/N092017-00212
    李小军, 侯春林, 戴志军等, 2015. 核岛结构设计地基场地及计算基底效应研究. 岩土力学, 36(8): 2201—2208

    Li X. J. , Hou C. L. , Dai Z. J. , et al. , 2015. Research on site effects of soil layers and bedrock on designing the foundation of nuclear island structure. Rock and Soil Mechanics, 36(8): 2201—2208. (in Chinese)
    李小军, 宋辰宁, 周国良等, 2019. 核岛结构PCS水箱FSI效应简化方法研究. 振动与冲击, 38(2): 6—12, 32

    Li X. J. , Song C. N. , Zhou G. L. , et al. , 2019. Simplified method for simulating the FSI effect of PCS water tank in a nuclear island building. Journal of Vibration and Shock, 38(2): 6—12, 32. (in Chinese)
    刘鸿泉, 陈少林, 孙晓颖等, 2022. 基于神经网络的核电厂设备易损性分析. 力学学报, 54(7): 2059—2070

    Liu H. Q. , Chen S. L. , Sun X. Y. , et al. , 2022. Vulnerability analysis of NPP equipment based on neural network. Chinese Journal of Theoretical and Applied Mechanics, 54(7): 2059—2070. (in Chinese)
    尚昆, 2014. 考虑SSI效应的核电厂安全壳及内部结构抗震能力评估. 哈尔滨: 哈尔滨工业大学, 15—17

    Shang K., 2014. Seismic assessment of nuclear power plants containment and internal structure considering SSI. Harbin: Harbin Institute of Technology, 15—17. (in Chinese)
    王中阳, 车佳玲, 张尚荣等, 2018. 基于能量方法设计的RC框架结构易损性分析. 震灾防御技术, 13(3): 524—533

    Wang Z. Y. , Che J. L. , Zhang S. R. , et al. , 2018. Seismic fragility analysis of RC frame structure based on energy balance. Technology for Earthquake Disaster Prevention, 13(3): 524—533. (in Chinese)
    杨贝贝, 王志涛, 张秀彦, 2020. 基于IDA方法的框架结构震害风险评估. 震灾防御技术, 15(1): 21—32

    Yang B. B. , Wang Z. T. , Zhang X. Y. , 2020. Seismic risk assessment of frame structures based on IDA method. Technology for Earthquake Disaster Prevention, 15(1): 21—32. (in Chinese)
    姚俊, 2010. 半偏相关系数的计算公式及其应用. 常州工学院学报, 23(5): 4—7 doi: 10.3969/j.issn.1671-0436.2010.05.002

    Yao J. , 2010. Calculating formula of semi-partial correlation coefficient and its application. Journal of Changzhou Institute of Technology, 23(5): 4—7. (in Chinese) doi: 10.3969/j.issn.1671-0436.2010.05.002
    Calabrese A. , Lai C. G. , 2013. Fragility functions of blockwork wharves using artificial neural networks. Soil Dynamics and Earthquake Engineering, 52: 88—102. doi: 10.1016/j.soildyn.2013.05.002
    Chryssolouris G. , Lee M. , Ramsey A. , 1996. Confidence interval prediction for neural network models. IEEE Transactions on Neural Networks, 7(1): 229—232. doi: 10.1109/72.478409
    Cornell C. A. , Jalayer F. , Hamburger R. O. , et al. , 2002. Probabilistic basis for 2000 SAC federal emergency management agency steel moment frame guidelines. Journal of Structural Engineering, 128(4): 526—533. doi: 10.1061/(ASCE)0733-9445(2002)128:4(526)
    Gehl P. , D’Ayala D. , 2016. Development of Bayesian networks for the multi-hazard fragility assessment of bridge systems. Structural Safety, 60: 37—46. doi: 10.1016/j.strusafe.2016.01.006
    Idriss I. M., Sun J. I., 1992. User's manual for SHAKE91: a computer program for conducting equivalent linear seismic response analyses of horizontally layered soil deposits. Davis: University of California.
    Kennedy R. P. , Cornell C. A. , Campbell R. D. , et al. , 1980. Probabilistic seismic safety study of an existing nuclear power plant. Nuclear Engineering and Design, 59(2): 315—338. doi: 10.1016/0029-5493(80)90203-4
    Kennedy R. P. , Ravindra M. K. , 1984. Seismic fragilities for nuclear power plant risk studies. Nuclear Engineering and Design, 79(1): 47—68. doi: 10.1016/0029-5493(84)90188-2
    Liel A. B. , Haselton C. B. , Deierlein G. G. , et al. , 2009. Incorporating modeling uncertainties in the assessment of seismic collapse risk of buildings. Structural Safety, 31(2): 197—211. doi: 10.1016/j.strusafe.2008.06.002
    Mangalathu S. , Jeon J. S. , Desroches R. , 2018. Critical uncertainty parameters influencing seismic performance of bridges using lasso regression. Earthquake Engineering & Structural Dynamics, 47(3): 784—801.
    Shinozuka M. , Feng M. Q. , Lee J. , et al. , 2000. Statistical analysis of fragility curves. Journal of Engineering Mechanics, 126(12): 1224—1231. doi: 10.1061/(ASCE)0733-9399(2000)126:12(1224)
    Unnikrishnan V. U. , Prasad A. M. , Rao B. N. , 2013. Development of fragility curves using high-dimensional model representation. Earthquake Engineering & Structural Dynamics, 42(3): 419—430.
    Vamvatsikos D. , Cornell C. A. , 2002. Incremental dynamic analysis. Earthquake Engineering & Structural Dynamics, 31(3): 491—514.
    Vamvatsikos D. , Cornell C. A. , 2004. Applied incremental dynamic analysis. Earthquake Spectra, 20(2): 523—553. doi: 10.1193/1.1737737
    Wang Z. Y. , Pedroni N. , Zentner I. , et al. , 2018 a. Seismic fragility analysis with artificial neural networks: application to nuclear power plant equipment. Engineering Structures, 162: 213—225. doi: 10.1016/j.engstruct.2018.02.024
    Wang Z. Y. , Zentner I. , Zio E. , 2018 b. A Bayesian framework for estimating fragility curves based on seismic damage data and numerical simulations by adaptive neural networks. Nuclear Engineering and Design, 338: 232—246. doi: 10.1016/j.nucengdes.2018.08.016
    Zentner I. , 2010. Numerical computation of fragility curves for NPP equipment. Nuclear Engineering and Design, 240(6): 1614—1621. doi: 10.1016/j.nucengdes.2010.02.030
    Zentner I. , Humbert N. , Ravet S. , et al. , 2011. Numerical methods for seismic fragility analysis of structures and components in nuclear industry - application to a reactor coolant system. Georisk: Assessment and Management of Risk for Engineered Systems and Geohazards, 5(2): 99—109. doi: 10.1080/17499511003630512
    Zio E. , 2006. A study of the bootstrap method for estimating the accuracy of artificial neural networks in predicting nuclear transient processes. IEEE Transactions on Nuclear Science, 53(3): 1460—1478. doi: 10.1109/TNS.2006.871662
  • 加载中
图(8) / 表(2)
计量
  • 文章访问数:  226
  • HTML全文浏览量:  181
  • PDF下载量:  18
  • 被引次数: 0
出版历程
  • 收稿日期:  2023-02-21
  • 刊出日期:  2024-03-31

目录

    /

    返回文章
    返回