• ISSN 1673-5722
  • CN 11-5429/P

饱和复杂场地效应对大跨连续梁桥地震响应影响的研究

程喜

程喜,2024. 饱和复杂场地效应对大跨连续梁桥地震响应影响的研究. 震灾防御技术,19(1):14−23. doi:10.11899/zzfy20240102. doi: 10.11899/zzfy20240102
引用本文: 程喜,2024. 饱和复杂场地效应对大跨连续梁桥地震响应影响的研究. 震灾防御技术,19(1):14−23. doi:10.11899/zzfy20240102. doi: 10.11899/zzfy20240102
Cheng Xi. Effect of Saturated Complex Site on the Seismic Response of Continuous Long-span Beam Bridges[J]. Technology for Earthquake Disaster Prevention, 2024, 19(1): 14-23. doi: 10.11899/zzfy20240102
Citation: Cheng Xi. Effect of Saturated Complex Site on the Seismic Response of Continuous Long-span Beam Bridges[J]. Technology for Earthquake Disaster Prevention, 2024, 19(1): 14-23. doi: 10.11899/zzfy20240102

饱和复杂场地效应对大跨连续梁桥地震响应影响的研究

doi: 10.11899/zzfy20240102
基金项目: 天津市自然科学基金项目(22JCQNJC00030);天津市项目加团队(2020)
详细信息
    作者简介:

    程喜,男,生于1977年。高级工程师。主要从事公路、市政工程综合施工技术研究。E-mail:466397981@qq.com

Effect of Saturated Complex Site on the Seismic Response of Continuous Long-span Beam Bridges

  • 摘要: 我国沿海地区大量大跨桥梁位于饱和复杂场地,此类场地通常存在土饱和特性、起伏地形、上覆水层,其对地震波的散射效应将导致地震动空间变化,然而目前缺乏针对此类场地条件的实测地震记录。针对此问题,本文建立了适用于饱和复杂场地大跨桥梁抗震分析的多点地震动模拟方法。首先,基于边界元法求解饱和复杂场地地震动传递函数;然后采用谱表示法生成空间变化人工地震动加速度时程;最后,以五跨连续梁桥为例,开展大跨桥梁地震响应分析,研究局部场地效应、动水压力效应对大跨连续梁桥地震响应的影响规律。结果表明,饱和复杂场地地震动加速度峰值表现出明显的空间变化特性,多点输入可导致饱和场地中地震动峰值加速度放大2~3倍,进而引起墩顶位移较一致地震作用结果增大95%~110%;动水压力可引起墩顶位移、墩底内力增大34%、29%。饱和复杂场地大跨桥梁抗震分析时忽略场地条件对地震动、桥梁地震响应的影响偏于不安全。
  • 图  1  饱和复杂场地示意图

    Figure  1.  Flowchart of the saturated complex site model

    图  2  本文结果和已有文献结果对比

    Figure  2.  Comparison of our results with that in previous study

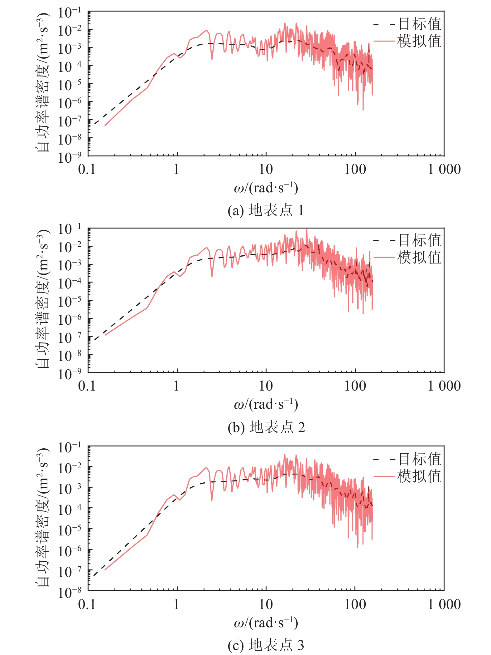
    图  3  地表点1、2、3地震动加速度自功率谱密度

    Figure  3.  Auto-power spectral density of ground motion acceleration of surface points 1, 2, and 3

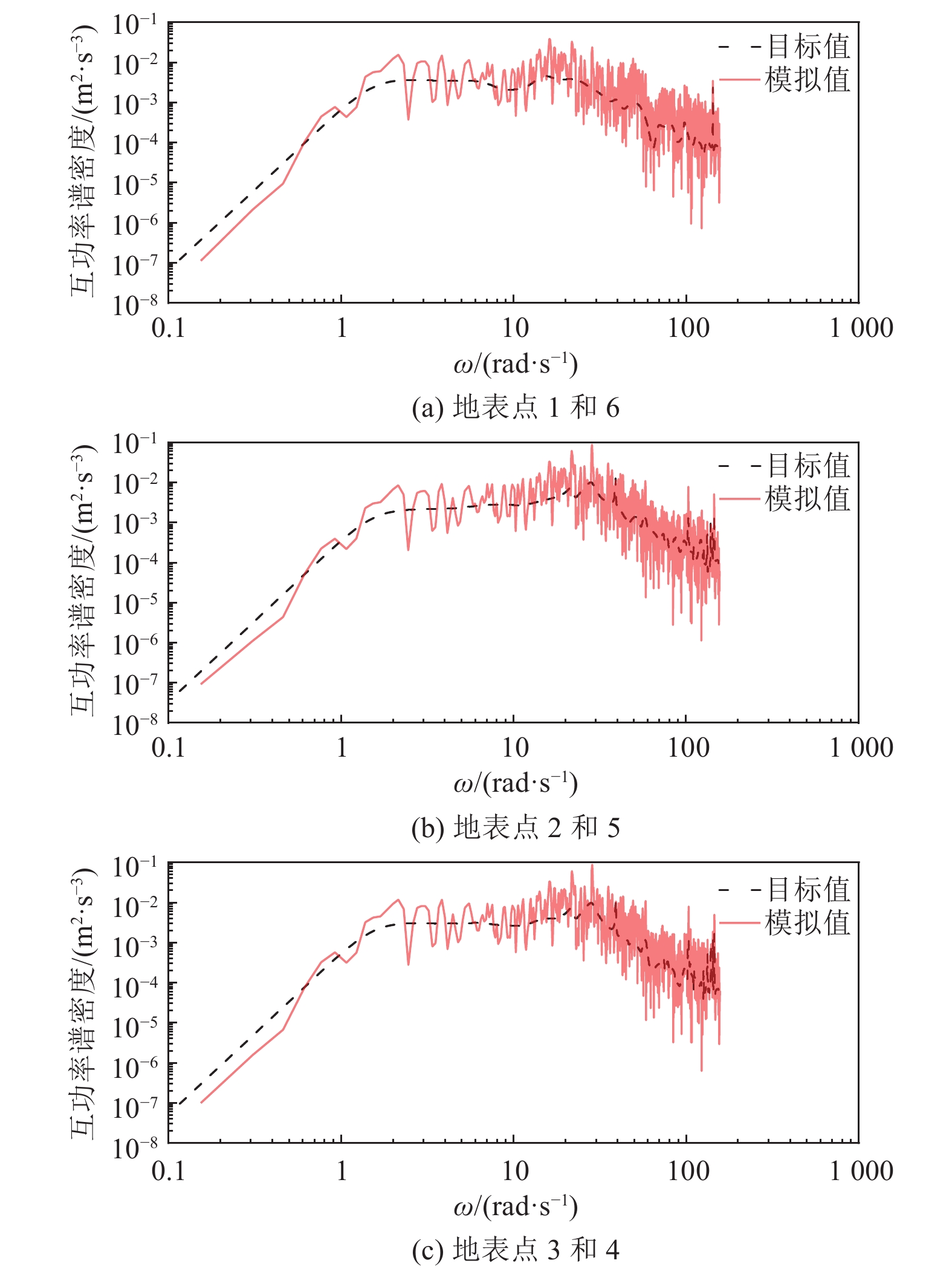
    图  4  不同地表点间地震动加速度互功率谱密度

    Figure  4.  Cross-power spectral density of ground motion acceleration among different surface points

    图  5  桥梁有限元模型

    Figure  5.  Finite element model of the exampled bridge

    图  6  桥梁结构所用材料本构模型

    Figure  6.  Constitutive model of materials used in bridge structures

    图  7  多点地震动加速度时程

    Figure  7.  Acceleration time-histories of multi-support ground motions

    图  8  一致地震动加速度时程

    Figure  8.  Acceleration time-history of the uniform ground motion

    图  9  多点、一致地震动作用下连续梁桥墩顶位移

    Figure  9.  Top displacement of the piers of the continuous beam bridge under multi-support and uniform ground motions

    图  10  多点、一致地震动作用下连续梁桥墩底剪力

    Figure  10.  Shear force of the pier bottom of the continuous beam bridge under multi-support and uniform ground motions

    图  11  多点、一致地震动作用下连续梁桥墩底弯矩

    Figure  11.  Moments of the pier bottom of the continuous beam bridge under multi-support and uniform ground motions

    图  12  多点地震动作用下动水压力对连续梁桥墩顶位移的影响

    Figure  12.  Effect of hydrodynamic pressures on the displacement at the pier top of the continuous beam bridge

    图  13  多点地震动作用下动水压力对连续梁桥墩底剪力的影响

    Figure  13.  Effect of hydrodynamic pressures on the shear force at the pier bottom of the continuous beam bridge

    图  14  多点地震动作用下动水压力对连续梁桥墩底弯矩的影响

    Figure  14.  Effect of hydrodynamic pressures on the moment at the pier bottom of the continuous beam bridge

  • 何颖, 于琴, 刘中宪, 2019. 考虑散射效应沉积河谷空间相关多点地震动模拟. 岩土力学, 40(7): 2739—2747, 2788

    He Y. , Yu Q. , Liu Z. X. , 2019. Simulation of multi-point spatially correlated earthquake ground motions of sedimentary valleys considering scattering effect. Rock and Soil Mechanics, 40(7): 2739—2747, 2788. (in Chinese)
    黄磊, 刘中宪, 张雪等, 2020. 含流体层的河谷场地对地震波散射的间接边界元法模拟. 地震学报, 42(6): 657—668

    Huang L. , Liu Z. X. , Zhang X. , et al. , 2020. IBEM simulation of seismic wave scattering by valley topography with fluid layer. Acta Seismologica Sinica, 42(6): 657—668. (in Chinese)
    李丽, 赵国峰, 李吉等, 2020. 一致激励与多点激励对悬索桥地震响应影响分析. 震灾防御技术, 15(2): 252—259

    Li L. , Zhao G. F. , Li J. , et al. , 2020. Analysis of the influence of uniform excitation and multi-point excitation on the seismic response of suspension bridge. Technology for Earthquake Disaster Prevention, 15(2): 252—259. (in Chinese)
    李平, 薄景山, 肖瑞杰等, 2018. 地震动河谷场地效应研究. 震灾防御技术, 13(2): 331—341

    Li P. , Bo J. S. , Xiao R. J. , et al. , 2018. The study of effect by the valley site on ground motion. Technology for Earthquake Disaster Prevention, 13(2): 331—341. (in Chinese)
    李伟华, 赵成刚, 2008. 平面SV波在饱和土半空间中圆柱形孔洞周边的散射. 地震工程与工程振动, 28(6): 1—7

    Li W. H. , Zhao C. G. , 2008. An analytical solution for the scattering of plane SV-waves around cylindrical cavity in a fluid-saturated porous media half space. Journal of Earthquake Engineering and Engineering Vibration, 28(6): 1—7. (in Chinese)
    李忠献, 李笑穹, 李宁, 2014. 空间相关多点多维地震动的模拟. 地震工程与工程振动, 34(4): 64—72

    Li Z. X. , Li X. Q. , Li N. , 2014. Simulation of multi-point and multi-dimension spatially correlated earthquake ground motions. Earthquake Engineering and Engineering Dynamics, 34(4): 64—72. (in Chinese)
    梁建文, 吴孟桃, 巴振宁, 2021. 流体饱和半空间二维地形三分量弹性波散射间接边界元模拟. 地球物理学报, 64(8): 2766—2779

    Liang J. W. , Wu M. T. , Ba Z. N. , 2021. IBEM simulation of three-component scattering of elastic waves in a fluid-saturated half-space with 2 D topography. Chinese Journal of Geophysics, 64(8): 2766—2779. (in Chinese)
    闫磊, 李青宁, 岳克锋等, 2019. 多维多点激励下考虑支座摩擦滑移及结构碰撞的非规则桥梁抗震性能研究. 世界地震工程, 35(2): 68—77

    Yan L. , Li Q. N. , Yue K. F. , et al. , 2019. Seismic behavior of irregular bridges under multi-dimensional and multi-point excitation considering friction slip of bearings and structural pounding. World Earthquake Engineering, 35(2): 68—77. (in Chinese)
    Bi K. M. , Hao H. , 2012. Modelling and simulation of spatially varying earthquake ground motions at sites with varying conditions. Probabilistic Engineering Mechanics, 29: 92—104. doi: 10.1016/j.probengmech.2011.09.002
    Huang H. C. , Chiu H. C. , 1995. The effect of canyon topography on strong ground motion at Feitsui damsite: quantitative results. Earthquake Engineering & Structural Dynamics, 24(7): 977—990.
    Li X. Q. , Li Z. X. , Crewe A. J. , 2018. Nonlinear seismic analysis of a high-pier, long-span, continuous RC frame bridge under spatially variable ground motions. Soil Dynamics and Earthquake Engineering, 114: 298—312. doi: 10.1016/j.soildyn.2018.07.032
    Liu Z. X. , Li W. X. , Jin L. G. , et al. , 2023 a. Efficient simulation of stochastic seismic response of long-span bridges in river valleys using hybrid BEM-FEM. Soil Dynamics and Earthquake Engineering, 165: 107690. doi: 10.1016/j.soildyn.2022.107690
    Sánchez-Sesma F. J. , Campillo M. , 1991. Diffraction of P, SV, and Rayleigh waves by topographic features: a boundary integral formulation. Bulletin of the Seismological Society of America, 81(6): 2234—2253.
    Wang P. G. , Zhao M. , Du X. L. , 2019. Simplified formula for earthquake-induced hydrodynamic pressure on round-ended and rectangular cylinders surrounded by water. Journal of Engineering Mechanics, 145(2): 04018137. doi: 10.1061/(ASCE)EM.1943-7889.0001567
    Wu Y. X. , Gao Y. F. , Zhang N. , et al. , 2016. Simulation of spatially varying ground motions in V-shaped symmetric canyons. Journal of Earthquake Engineering, 20(6): 992—1010. doi: 10.1080/13632469.2015.1010049
    Zanardo G. , Hao H. , Modena C. , 2002. Seismic response of multi-span simply supported bridges to a spatially varying earthquake ground motion. Earthquake Engineering & Structural Dynamics, 31(6): 1325—1345.
  • 加载中
图(14)
计量
  • 文章访问数:  242
  • HTML全文浏览量:  95
  • PDF下载量:  27
  • 被引次数: 0
出版历程
  • 收稿日期:  2023-11-09
  • 刊出日期:  2024-03-31

目录

    /

    返回文章
    返回