• ISSN 1673-5722
  • CN 11-5429/P

不同震源入射角对海底盆地地震响应的影响

吕宇坤 杜成斌 杨伟林

吕宇坤,杜成斌,杨伟林,2023. 不同震源入射角对海底盆地地震响应的影响. 震灾防御技术,18(2):317−329. doi:10.11899/zzfy20230213. doi: 10.11899/zzfy20230213
引用本文: 吕宇坤,杜成斌,杨伟林,2023. 不同震源入射角对海底盆地地震响应的影响. 震灾防御技术,18(2):317−329. doi:10.11899/zzfy20230213. doi: 10.11899/zzfy20230213
Lv Yukun, Du Chengbin, Yang weilin. Impact of Different Source Incidence Angles on Seismic Response of Submarine Basin[J]. Technology for Earthquake Disaster Prevention, 2023, 18(2): 317-329. doi: 10.11899/zzfy20230213
Citation: Lv Yukun, Du Chengbin, Yang weilin. Impact of Different Source Incidence Angles on Seismic Response of Submarine Basin[J]. Technology for Earthquake Disaster Prevention, 2023, 18(2): 317-329. doi: 10.11899/zzfy20230213

不同震源入射角对海底盆地地震响应的影响

doi: 10.11899/zzfy20230213
基金项目: 国家重点研发计划项目(2018YFE0122400)
详细信息
    作者简介:

    吕宇坤,男,生于1998年。硕士研究生。主要从事场地地震效应研究。E-mail:1317959628@qq.com

    通讯作者:

    杜成斌,男,生于1965年。教授,博士。主要从事水工结构工程中的力学问题研究。E-mail:cbdu@hhu.edu.cn

Impact of Different Source Incidence Angles on Seismic Response of Submarine Basin

  • 摘要: 为研究地震作用对海底盆地的影响,在分析网格大小和PML边界厚度对计算精度影响的基础上,综合考虑了海水、盆地内不规则地形以及多层介质等因素,运用谱元法理论建立了礼乐盆地地震动分析二维模型,研究了盆地在不同震源入射角下的响应。结果表明:在考虑流固耦合的情况下,网格尺寸为四分之一波长时即可取得较高精度,PML边界厚度至少为2个波长时方可达到理想效果。震源的不同会影响放大系数的大小及频谱特征。当地震波从盆地中部入射时,随着震源入射角的增大,放大系数逐渐减小;在不同震源入射角下,盆地不同位置的加速度时程及频谱特征差异较大。当地震波从左侧入射时,放大系数的分布规律与地震波从盆地中部入射时有所不同;在不同的震源入射角下,盆地不同位置的加速度时程及频谱特征差异较小。在研究盆地地震相关问题时,海水、地形以及多层介质的影响是不可忽视的。
  • 图  1  PML吸收边界示意图

    Figure  1.  Schematic diagram of PML absorption boundary

    图  2  验证算例计算简图(单位:米)

    Figure  2.  Sketch of calculation example for verification(Unit: m)

    图  3  波源时程曲线

    Figure  3.  Source time-history curve

    图  4  压强对比

    Figure  4.  Pressure contrast

    图  5  计算简图(单位:米)

    Figure  5.  Calculation sketch(Unit: m)

    图  6  波源时程曲线

    Figure  6.  Source time-history curve

    图  7  PML吸收效率对比

    Figure  7.  Comparison of PML absorption efficiency

    图  8  礼乐盆地计算简图(单位:米)

    Figure  8.  Calculation sketch of the Lile basin(Unit: m)

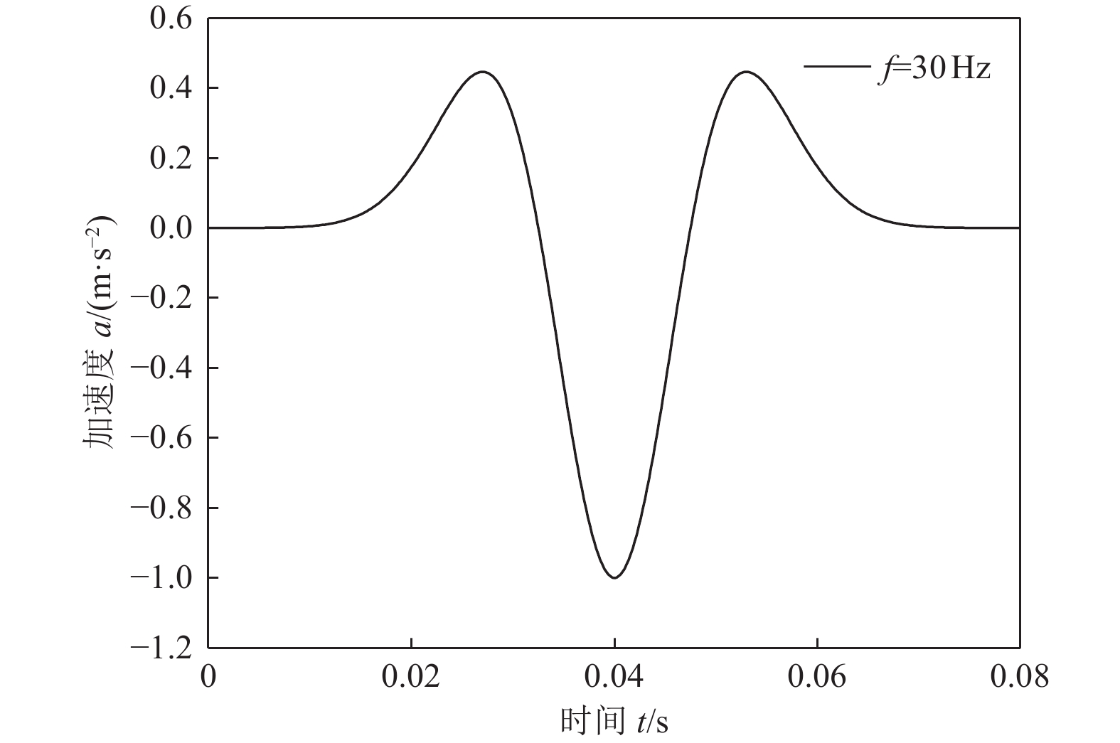
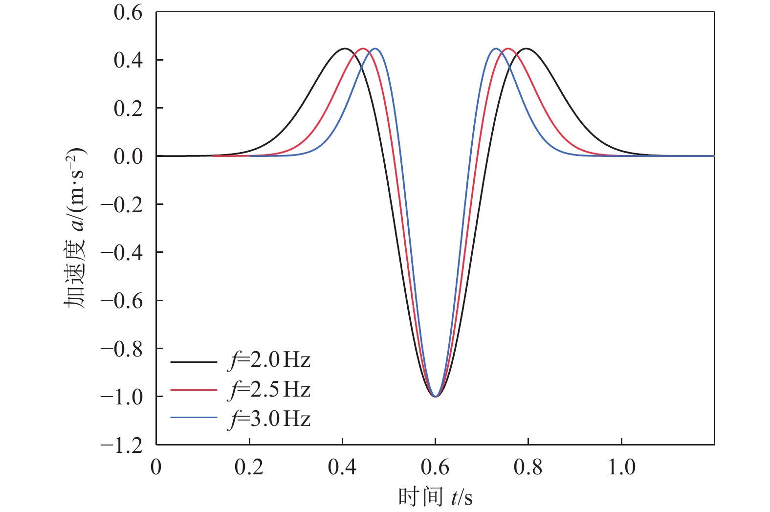
    图  9  震源时程以及频谱

    Figure  9.  Source time histories and spectrum

    图  10  观测点放大系数分布

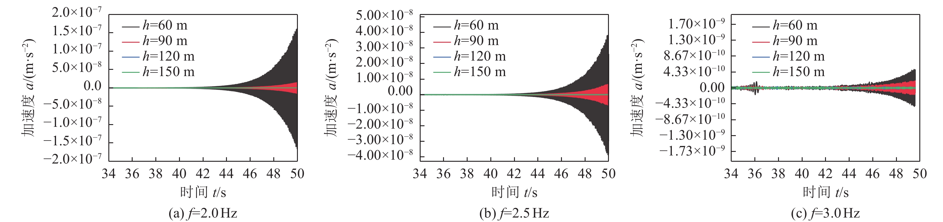
    Figure  10.  Amplification coefficient distribution of observation points

    11  特征点加速度时程以及频谱

    11.  Acceleration time histories and spectrum of characteristic points

    图  12  观测点放大系数分布

    Figure  12.  Amplification coefficient distribution of observation points

    13  特征点加速度时程以及频谱

    13.  Acceleration time histories and spectrum of characteristic pointsts

    表  1  模型介质参数

    Table  1.   Model media parameters

    介质$ \rho $/(kg·m−3Vp/(m·s−1Vs/(m·s−1
    海水10001500
    黏土16501650218
    砂土18001697264
    岩石21002135485
    下载: 导出CSV
  • 丁海平, 朱重洋, 于彦彦, 2017. P, SV波斜入射下凹陷地形地震动分布特征. 振动与冲击, 36(12): 88—92, 98 doi: 10.13465/j.cnki.jvs.2017.12.015

    Ding H. P. , Zhu C. Y. , Yu Y. Y. , 2017. Characteristic of ground motions of a canyon topography under inclined P and SV waves. Journal of Vibration and Shock, 36(12): 88—92, 98. (in Chinese) doi: 10.13465/j.cnki.jvs.2017.12.015
    董阳, 2016. 谱元法在海洋声学中的应用. 哈尔滨: 哈尔滨工程大学.

    Dong Y. , 2016. The spectral element method applied to ocean acoustic. Harbin: Harbin Engineering University. (in Chinese)
    孔曦骏, 李鸿晶, 2021. 基于谱元模型的带斜坡覆水场地地震动效应分析. 南京工业大学学报(自然科学版), 43(2): 264—272 doi: 10.3969/j.issn.1671-7627.2021.02.018

    Kong X. J. , Li H. J. , 2021. Spectral element analysis of seismic effects for overlying water fields with side slopes. Journal of Nanjing University of Technology (Natural Science Edition), 43(2): 264—272. (in Chinese) doi: 10.3969/j.issn.1671-7627.2021.02.018
    李颂, 杨树春, 仝志刚等, 2012. 南海南部礼乐盆地深水区烃源岩生烃潜力研究. 天然气地球科学, 23(6): 1070—1076

    Li S. , Yang S. C. , Tong Z. G. , et al. , 2012. Study on the hydrocarbon generation potential of source rocks in Lile Basin, Southern South China Sea. Natural Gas Geoscience, 23(6): 1070—1076. (in Chinese)
    李伟华, 赵成刚, 2003. 圆弧形凹陷饱和土场地对平面P波散射问题的解析解. 地球物理学报, 46(4): 539—546

    Li W. H. , Zhao C. G. , 2003. An analytical solution for the diffraction of plane P-waves by circular cylindrical canyons in a fluid-saturated porous media half space. Chinese Journal of Geophysics, 46(4): 539—546. (in Chinese)
    刘少林, 杨顶辉, 徐锡伟等, 2021. 模拟地震波传播的三维逐元并行谱元法. 地球物理学报, 64(3): 993—1005

    Liu S. L. , Yang D. H. , Xu X. W. , et al. , 2021. Three-dimensional element-by-element parallel spectral-element method for seismic wave modeling. Chinese Journal of Geophysics, 64(3): 993—1005. (in Chinese)
    彭浩天, 2018. 起伏地表下弹性波传播数值模拟方法对比研究. 成都: 西南石油大学.
    苏波, 李怀良, 刘少林等, 2019. 修正辛格式有限元法的地震波场模拟. 地球物理学报, 62(4): 1440—1452

    Su B. , Li H. L. , Liu S. L. , et al. , 2019. Modified symplectic scheme with finite element method for seismic wavefield modeling. Chinese Journal of Geophysics, 62(4): 1440—1452. (in Chinese)
    孙龙涛, 孙珍, 詹文欢等, 2010. 南沙海域礼乐盆地油气资源潜力. 地球科学——中国地质大学学报, 35(1): 137—145 doi: 10.3799/dqkx.2010.014

    Sun L. T. , Sun Z. , Zhan W. H. , et al. , 2010. Petroleum potential prediction of the Lile basin in Nansha. Earth Science—Journal of China University of Geosciences, 35(1): 137—145. (in Chinese) doi: 10.3799/dqkx.2010.014
    谭文卓, 吴帮玉, 李博等, 2020. 梯形网格伪谱法地震波场模拟. 石油地球物理勘探, 55(6): 1282—1291 doi: 10.13810/j.cnki.issn.1000-7210.2020.06.014

    Tan W. Z. , Wu B. Y. , Li B. , et al. , 2020. Seismic wave simulation using a trapezoid grid pseudo-spectral method. Oil Geophysical Prospecting, 55(6): 1282—1291. (in Chinese) doi: 10.13810/j.cnki.issn.1000-7210.2020.06.014
    万子轩, 2020. 基于谱元法的山体地形效应模拟研究. 成都: 成都理工大学.

    Wan Z. X. , 2020. Investigations of mountain topographic effects based on spectral element method. Chengdu: Chengdu University of Technology. (in Chinese)
    魏成前, 2021. 平面波入射下二维成层盆地地震动放大特征研究. 苏州: 苏州科技大学.

    Wei C. Q. , 2021. Research on characteristics of ground motion amplification in two-dimensional layered basins under plane wave incidence. Suzhou: Suzhou University of Science and Technology. (in Chinese)
    姚铭, 高刚, 周游等, 2017. 基于有限差分法的地震波数值模拟研究综述. 能源与环保, 39(10): 75—79, 85

    Yao M. , Gao G. , Zhou Y. , et al. , 2017. Summarization of numerical simulation of seismic wave based on minite difference method. China Energy and Environmental Protection, 39(10): 75—79, 85. (in Chinese)
    禹乐, 于彦彦, 丁海平, 2020. 内源作用下盆地倾角对地表地震动放大特征的影响. 地震工程与工程振动, 40(5): 97—106 doi: 10.13197/j.eeev.2020.05.97.yul.010

    Yu L. , Yu Y. Y. , Ding H. P. , 2020. Effect of basin slope angle on ground motion amplification characteristics under internal point source. Earthquake Engineering and Engineering Vibration, 40(5): 97—106. (in Chinese) doi: 10.13197/j.eeev.2020.05.97.yul.010
    张田升, 吴自银, 赵荻能等, 2019. 南海礼乐盆地海底麻坑地貌及成因分析. 海洋学报, 41(3): 106—120

    Zhang T. S. , Wu Z. Y. , Zhao D. N. , et al. , 2019. The morphologies and genesis of pockmarks in the Reed Basin, South China Sea. Haiyang Xuebao, 41(3): 106—120. (in Chinese)
    赵成刚, 王磊, 李伟华, 2008. 具有饱和土沉积层的充水河谷对平面瑞雷波的散射. 地球物理学报, 51(5): 1567—1573 doi: 10.3321/j.issn:0001-5733.2008.05.032

    Zhao C. G. , Wang L. , Li W. H. , 2008. Scattering of plane Rayleigh waves by circular-arc alluvial valleys with saturated soil deposits and water layer. Chinese Journal of Geophysics, 51(5): 1567—1573. (in Chinese) doi: 10.3321/j.issn:0001-5733.2008.05.032
    朱重洋, 丁海平, 于彦彦, 2016. SV波入射下有无覆盖层凹陷地形的地面运动比较. 苏州科技学院学报(工程技术版), 29(2): 33—37

    Zhu C. Y. , Ding H. P. , Yu Y. Y. , 2016. Comparison of canyon ground motion with or without covering soil layers under SV wave incidence. Journal of Suzhou University of Science and Technology (Engineering and Technology), 29(2): 33—37. (in Chinese)
    Antonietti P. F. , Ferroni A. , Mazzieri I. , et al. , 2018. Numerical modeling of seismic waves by discontinuous spectral element methods. ESAIM: Proceedings and Surveys, 61: 1—37. doi: 10.1051/proc/201861001
    Chen B. K. , Du Y. J. , Shi Y. , et al. , 2021. Seismic analysis of isolated continuous bridge considering influence of seawater and site condition. Shock and Vibration, 2021: 7599715.
    Cristini P. , Komatitsch D. , 2012. Some illustrative examples of the use of a spectral-element method in ocean acoustics. The Journal of the Acoustical Society of America, 131(3): EL229—EL235. doi: 10.1121/1.3682459
    Graves R. W. , Pitarka A. , Somerville P. G. , 1998. Ground-motion amplification in the Santa Monica area: effects of shallow basin-edge structure. Bulletin of the Seismological Society of America, 88(5): 1224—1242. doi: 10.1785/BSSA0880051224
    Komatitsch D. , Barnes C. , Tromp J. , 2000. Wave propagation near a fluid-solid interface: a spectral-element approach. Geophysics, 65(2): 623—631. doi: 10.1190/1.1444758
    Lee J., 2013. Earthquake site effect modeling in the Granada basin using a 3-D indirect boundary element method. Physics and Chemistry of the Earth, Parts A/B/C, 63: 102—115.
    Patera A. T. , 1984. A spectral element method for fluid dynamics: laminar flow in a channel expansion. Journal of Computational Physics, 54(3): 468—488. doi: 10.1016/0021-9991(84)90128-1
  • 加载中
图(15) / 表(1)
计量
  • 文章访问数:  184
  • HTML全文浏览量:  39
  • PDF下载量:  9
  • 被引次数: 0
出版历程
  • 收稿日期:  2022-07-16
  • 刊出日期:  2023-06-30

目录

    /

    返回文章
    返回