• ISSN 1673-5722
  • CN 11-5429/P

中国海域及邻区地震时间分布特征研究

徐伟进 李雪婧 谢卓娟 吕悦军 高战武

徐伟进,李雪婧,谢卓娟,吕悦军,高战武,2021. 中国海域及邻区地震时间分布特征研究. 震灾防御技术,16(1):39−50. doi:10.11899/zzfy20210105. doi: 10.11899/zzfy20210105
引用本文: 徐伟进,李雪婧,谢卓娟,吕悦军,高战武,2021. 中国海域及邻区地震时间分布特征研究. 震灾防御技术,16(1):39−50. doi:10.11899/zzfy20210105. doi: 10.11899/zzfy20210105
Xu Weijin, Li Xuejing, Xie Zhuojuan, Lv Yuejun, Gao Zhanwu. Temporal Distribution Characteristics of Earthquakes in the China Sea and Adjacent Areas[J]. Technology for Earthquake Disaster Prevention, 2021, 16(1): 39-50. doi: 10.11899/zzfy20210105
Citation: Xu Weijin, Li Xuejing, Xie Zhuojuan, Lv Yuejun, Gao Zhanwu. Temporal Distribution Characteristics of Earthquakes in the China Sea and Adjacent Areas[J]. Technology for Earthquake Disaster Prevention, 2021, 16(1): 39-50. doi: 10.11899/zzfy20210105

中国海域及邻区地震时间分布特征研究

doi: 10.11899/zzfy20210105
基金项目: 科技部重点研发计划项目:海域地震区划关键技术研究(2017YFC1500402);中国地震局地球物理研究所基本科研业务专项(DQJB21Z07)
详细信息
    作者简介:

    徐伟进,男,生于1982年。副研究员。主要从事地震危险性、地震活动性方面的研究。E-mail:wjxuwin@163.com

Temporal Distribution Characteristics of Earthquakes in the China Sea and Adjacent Areas

  • 摘要: 地震时间分布特征研究是进行地震预测和地震危险性分析的重要基础。以中国海域统一地震目录为基础资料,以指数分布模型、伽马分布模型、威布尔分布模型、对数正态分布模型以及布朗过程时间分布(BPT)模型为目标模型,采用极大似然法估算模型参数。根据赤池信息准则(AIC)、贝叶斯信息准则(BIC)以及K-S检验结果确定能够描述海域地震时间分布的最优模型。结果表明,对于震级相对较小( M <6)的地震,指数分布、伽马分布以及威布尔分布均能较好地描述其时间分布特征;在大的区域范围内(如整个海域),震级相对较大( M >6)的地震可完全采用指数分布描述其时间分布特征;在较小的区域范围内(如地震带),大地震时间间隔可能更加符合对数正态分布和BPT分布。此外,文中还采用扩散熵分析法研究地震之间的丛集性和时间相关性,结果表明,地震活动存在长期记忆性,震级相对较小( M <6)的地震受更大地震的影响,从而在时间上表现出丛集特征。本文的研究结果对地震预测、地震危险性计算中地震时间分布模型选择和地震活动性参数计算具有一定参考价值,对理解地震孕育发生机理具有一定科学意义。
  • 图  1  中国海域及邻区地震分布

    :(a)图中红色圆圈为主震,蓝色圆圈为余震;(b)图为近海大陆架各地震带范围,其中,①为华北平原地震带;②为郯庐地震带;③为长江下游-南黄海地震带;④为朝鲜地震带;⑤为东海地震统计区;⑥为华南沿海地震带;⑦为台湾西部地震带;⑧为台湾-马尼拉地震带;⑨为南海地震统计区;⑩为琉球海沟地震带

    Figure  1.  Earthquake distribution in China sea areas and adjacent areas

    图  2  中国海域及邻区不同震级地震的时间间隔累积经验分布函数及其对应的5个模型累积分布函数

    Figure  2.  The cumulative empirical distribution function of the time interval of M≥5, 6, 7 earthquakes in the Sea area of China and adjacent areas and the cumulative distribution function of the corresponding five models

    图  3  海域地震时间间隔变异系数与泊松模型变异系数对比

    :红线为实际地震记录计算的变异系数,直方图为蒙特卡洛模拟1000次泊松过程的变异系数分布

    Figure  3.  Comparison between the variation coefficient of sea area earthquake time interval and the variation coefficient of Poisson model

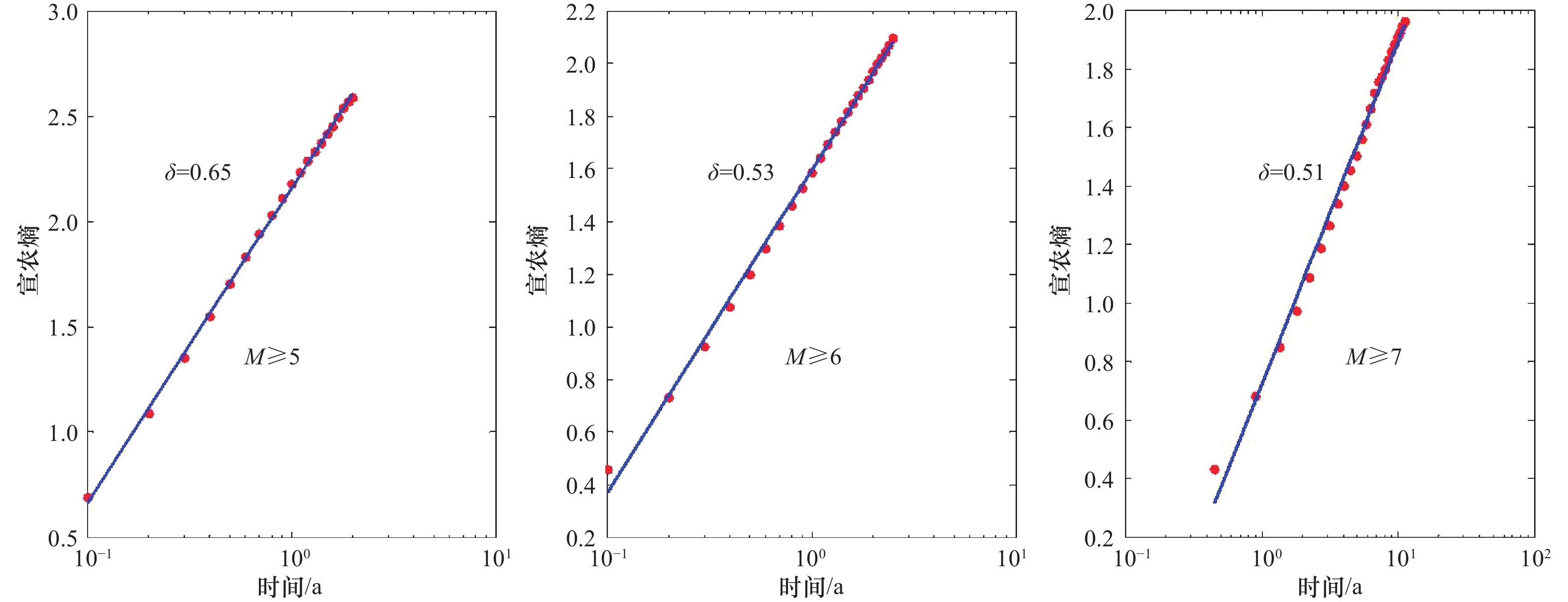
    图  4  整个海域地震的扩散熵和标准差随时间变化及其标度值

    Figure  4.  Diffusion entropy and standard deviation of earthquakes as the function of time in the whole sea area and the scale values

    表  1  中国海域及邻区模型参数及AIC、BIC和K-S检验值

    Table  1.   Model parameters and AIC, BIC and K-S test results for earthquakes in China Sea and adjacent areas

    震级模型模型参数−lnLAICBICK-S检值验
    指数分布μ=23.27602770.47725542.95455547.45870.0366
    威布尔分布α=22.1757β=0.90382764.37395532.74795541.75650.0384
    1976年以来M≥5对数正态分布μ=2.4560σ=1.55262882.30875768.61745777.62600.1067
    伽马分布α=0.8514λ=27.33832764.47595532.95185541.96040.0391
    布朗过程时间分布μ=23.2760α=0.03294548.73299101.46599110.47450.1667
    指数分布μ=188.87101422.96272847.92532851.35470.0471
    威布尔分布α=180.4296β=0.90471421.01412846.02832852.88700.0476
    1900年以来M≥6对数正态分布μ=4.5348σ=1.70151478.63162961.26312968.12180.1144
    伽马分布α=0.8355λ=226.04871420.38452844.76892851.62760.0541
    布朗过程时间分布μ=188.8710α=0.08742152.20804308.41614315.27480.4251
    指数分布μ=920.4309352.1179706.2358708.04240.0857
    1900年以来M≥7威布尔分布α=869.2773β=0.8697351.4152706.8304710.44380.1214
    对数正态分布μ=6.0154σ=12.3052372.1317748.2635751.87680.2007
    伽马分布α=0.7408λ=1242.5236350.6158705.2316708.84490.1290
    布朗过程时间分布μ=920.4309α=0.0344545.72601095.45211099.06540.5404
    下载: 导出CSV

    表  2  华南沿海地震带模型参数及AIC、BIC和K-S检验值

    Table  2.   Model parameters and AIC, BIC and K-S test results for earthquakes in South China Coastal seismic zone

    震级分布模型模型参数值−lnLAICBICK-S检验值
    1970年以来M≥4指数分布μ=124.1940820.88021643.76031646.70910.0524
    威布尔分布α=119.3586β=0.9161819.95011643.90021649.79770.0428
    对数正态分布μ=4.1325σ=11.6783855.75401715.50801721.40550.1243
    伽马分布α=0.8537λ=145.4822819.65641643.31291649.21040.0481
    布朗过程时间分布μ=124.1940α=0.15511205.49272414.98542420.88290.8448
    1900年以来M≥5指数分布μ=1095.4519295.9601593.9202595.53120.1106
    威布尔分布α=1070.9469β=0.9473295.8694595.7388598.96070.1293
    对数正态分布μ=6.3317σ=11.5744303.5748611.1497614.37150.2180
    伽马分布α=0.8788λ=1246.5401295.7488595.4976598.71950.1382
    布朗过程时间分布μ=1095.4519α=0.20633327.2432658.4864661.70830.5460
    1900年以来M≥6指数分布μ=3647.104482.8152167.6304167.82760.1553
    威布尔分布α=3876.6133β=1.181282.6192169.2384169.63290.1896
    对数正态分布μ=7.8006σ=10.942382.4707168.9414169.33590.1443
    伽马分布α=1.3897λ=2624.403982.5429169.0858169.48030.1870
    布朗过程时间分布μ=3647.1044α=0.5123.811382.5444169.0887169.48320.1601
    下载: 导出CSV

    表  3  台湾西部地震带模型参数及AIC、BIC和K-S检验值

    Table  3.   Model parameters and AIC, BIC and K-S test results for earthquakes in the western Taiwan earthquake zone

    震级分布模型模型参数值−lnLAICBICK-S检验值
    1970年以来M≥4指数分布μ=63.91921413.18772828.37552831.98860.0321
    威布尔分布α=62.5341β=0.95131412.62342829.24692836.47310.0413
    对数正态分布μ=3.5179σ=1.41551447.90902899.81812907.04430.0801
    伽马分布α=0.9123λ=70.06311412.41172828.82352836.04980.0396
    布朗过程时间分布μ=63.9192α=2.02851737.74143479.48293486.70910.5304
    1900年以来M≥5指数分布μ=360.3387812.67131627.34251630.11320.0691
    韦伯分布α=349.6849β=0.9394812.24841628.49681634.03810.0627
    对数正态分布μ=5.2615σ=1.4189829.57431663.14861668.69000.1093
    伽马分布α=0.9307λ=387.1736812.46841628.93681634.47820.0650
    布朗过程时间分布μ=360.3387α=2.37251047.74442099.48872105.03010.7232
    1900年以来M≥6指数分布μ=1540.5848225.1778452.3555453.65140.1196
    韦伯分布α=1528.7487β=0.9856225.1718454.3435456.93520.1177
    对数正态分布μ=6.8444σ=0.9483221.6868447.3737449.96530.0680
    伽马分布α=1.1471λ=1343.0297225.0235454.0470456.63870.1230
    布朗过程时间分布μ=1540.5848α=0.4539221.4897446.9793449.57100.0680
    下载: 导出CSV

    表  4  台湾-马尼拉海沟地震带模型参数及AIC、BIC和K-S检验值

    Table  4.   Model parameters and AIC, BIC and K-S test results for earthquakes in Taiwan - Manila trench seismic zone

    震级分布模型模型参数值−lnLAICBICK-S检验值
    1900年以来M≥5指数分布μ=198.77021365.39642732.79282736.17270.1098
    威布尔分布α=172.2580β=0.78221352.92272709.84542716.60520.0247
    对数正态分布μ=4.4145σ=1.63541372.59192749.18372755.94350.0912
    伽马分布α=0.6900λ=288.08801353.93092711.86172718.62150.0348
    布朗过程时间分布μ=198.7702α=5.17201566.52583137.05163143.81140.4935
    1900年以来M≥6指数分布μ=530.8835589.23791180.47591182.87030.0686
    威布尔分布α=525.5586β=0.9762589.20051182.40101187.18990.0720
    对数正态分布μ=5.6565σ=1.3571597.84691199.69371204.48260.1442
    伽马分布α=0.9408λ=564.3035589.13791182.27571187.06460.0745
    布朗过程时间分布μ=530.8835α=1.9082623.77241251.54481256.33370.3173
    1900年以来M≥7指数分布μ=2534.7483132.5677267.1355267.84350.1465
    威布尔分布α=2598.8333β=1.0804132.5075269.0151270.43120.1351
    对数正态分布μ=7.2616σ=1.4120135.4003274.8006276.21670.1871
    伽马分布α=1.0014λ=2531.1015132.5677269.1355270.55160.1464
    布朗过程时间分布μ=2534.7483α=0.8039139.9211283.8422285.25830.3793
    下载: 导出CSV

    表  5  各地震带不同起始震级地震目录的扩散熵分析法和标准差分析法标度值

    Table  5.   DEA and SDA scale values of earthquake catalogs with different initial magnitudes in each seismic zone

    地震带M≥4M≥5M≥6M≥7
    δHδHδHδH
    华南沿海地震带0.560.580.370.460.380.46
    长江下游-南黄海地震带0.440.440.540.580.420.51
    台湾西部地震带0.470.470.650.740.560.64
    马尼拉海沟地震带0.590.770.500.570.450.46
    琉球海沟地震带0.500.510.560.63
    下载: 导出CSV
  • [1] 高孟潭, 1996. 基于泊松分布的地震烈度发生概率模型. 中国地震, 12(2): 195—201.

    Gao M T., 1996. Occurrence probability model of earthquake intensity based on the Poisson distribution. Earthquake Research in China, 12(2): 195—201. (in Chinese)
    [2] 胡聿贤, 1990. 地震危险性分析中的综合概率法. 北京: 地震出版社.
    [3] 潘华, 高孟潭, 谢富仁, 2013. 新版地震区划图地震活动性模型与参数确定. 震灾防御技术, 8(1): 11—23. doi: 10.3969/j.issn.1673-5722.2013.01.002

    Pan H., Gao M. T., Xie F. R., 2013. The earthquake activity model and seismicity parameters in the new seismic hazard map of China. Technology for Earthquake Disaster Prevention, 8(1): 11—23. (in Chinese) doi: 10.3969/j.issn.1673-5722.2013.01.002
    [4] Bajaj S., Lal Sharma M., 2019. Modeling earthquake recurrence in the Himalayan seismic belt using time-dependent stochastic models: implications for future seismic hazards. Pure and Applied Geophysics, 176(12): 5261—5278. doi: 10.1007/s00024-019-02270-9
    [5] Bufe C. G., Perkins D. M., 2005. Evidence for a global seismic-moment release sequence. Bulletin of the Seismological Society of America, 95(3): 833—843. doi: 10.1785/0120040110
    [6] Console R., Murru M., Lombardi A. M., 2003. Refining earthquake clustering models. Journal of Geophysical Research, 108(B10): 2468.
    [7] Cornell C. A., 1968. Engineering seismic risk analysis. Bulletin of the Seismological Society of America, 58(5): 1583—1606.
    [8] Daub E. G., Ben-Naim E., Guyer R. A., et al., 2012. Are megaquakes clustered? Geophysical Research Letters, 39(6): L06308.
    [9] Ellsworth W. L., Llenos A. L., McGarr A. F., et al., 2015. Increasing seismicity in the U.S. midcontinent: implications for earthquake hazard. The Leading Edge, 34(6): 618—626. doi: 10.1190/tle34060618.1
    [10] Gardner J. K., Knopoff L., 1974. Is the sequence of earthquakes in southern California, with aftershocks removed, Poissonian? Bulletin of the Seismological Society of America, 64(5): 1363—1367.
    [11] Hebden J. S., Stein S., 2009. Time-dependent seismic hazard maps for the new Madrid seismic zone and Charleston, South Carolina, Areas. Seismological Research Letters, 80(1): 12—20. doi: 10.1785/gssrl.80.1.12
    [12] Jiménez, A., Tiampo, K. F., Levin, S., et al., 2006. Testing the persistence in earthquake catalogs: the Iberian Peninsula. EPL (Europhysics Letters), 73(2): 171—177. doi: 10.1209/epl/i2005-10383-8
    [13] Kagan Y. Y., 1997. Statistical aspects of Parkfield earthquake sequence and Parkfield prediction experiment. Tectonophysics, 270(3—4): 207—219.
    [14] Kulkarni R., Wong I., Zachariasen J., et al., 2013. Statistical analyses of great earthquake recurrence along the Cascadia Subduction zone. Bulletin of the Seismological Society of America, 103(6): 3205—3221. doi: 10.1785/0120120105
    [15] Mandelbrot B. B., 1982. The fractal geometry of nature. New York: W.H. Freeman and Company.
    [16] Matthews M. V., Ellsworth W. L., Reasenberg P. A., 2002. A Brownian model for recurrent earthquakes. Bulletin of the Seismological Society of America, 92(6): 2233—2250. doi: 10.1785/0120010267
    [17] Mega M. S., Allegrini P., Grigolini P., et al., 2003. Power-law time distribution of large earthquakes. Physical Review Letters, 90(18): 188501. doi: 10.1103/PhysRevLett.90.188501
    [18] Michael A. J., 2011. Random variability explains apparent global clustering of large earthquakes. Geophysical Research Letters, 38(21): L21301.
    [19] Nishenko S. P., Buland, R., 1987. A generic recurrence interval distribution for earthquake forecasting. Bulletin of the Seismological Society of America, 77(4): 1382—1399.
    [20] Ogata Y., Abe K., 1991. Some statistical features of the long-term variation of the global and regional seismic activity. International Statistical Review, 59(2):139—161. doi: 10.2307/1403440
    [21] Parsons T., Geist E. L., 2012. Were global M≥8.3 earthquake time intervals random between 1900 and 2011? Bulletin of the Seismological Society of America, 102(4): 1583—1592. doi: 10.1785/0120110282
    [22] Pasari S., Dikshit O., 2015. Distribution of earthquake interevent times in northeast India and adjoining regions. Pure and Applied Geophysics, 172(10): 2533—2544. doi: 10.1007/s00024-014-0776-0
    [23] Pasari S., Dikshit O., 2018. Stochastic earthquake interevent time modeling from exponentiated Weibull distributions. Natural Hazards, 90(2): 823—842. doi: 10.1007/s11069-017-3074-1
    [24] Petersen M. D., Moschetti M. P., Powers P. M., et al., 2014. Documentation for the 2014 update of the United States national seismic hazard maps. Reston: U.S. Geological Survey.
    [25] Reid H. F., 1910. The mechanics of the earthquake, the California earthquake of April 18, 1906, report of the state earthquake investigation commission, Vol. 2. Washington: Carnegie Institution of Washington.
    [26] Salditch L., Stein S., Neely J., et al., 2020. Earthquake supercycles and long-term fault memory. Tectonophysics, 774: 228289. doi: 10.1016/j.tecto.2019.228289
    [27] Scafetta N., West B. J., 2004. Multiscaling comparative analysis of time series and a discussion on “earthquake conversations” in California. Physical Review Letters, 92(13): 138501. doi: 10.1103/PhysRevLett.92.138501
    [28] Schwartz D. P., Coppersmith K. J., 1984. Fault behavior and characteristic earthquakes: examples from the Wasatch and San Andreas fault zones. Journal of Geophysical Research, 89(B7): 5681—5698. doi: 10.1029/JB089iB07p05681
    [29] Shannon C., 1948. A mathematical theory of communication. Bell System Technical Journal, 27(4): 623—656. doi: 10.1002/j.1538-7305.1948.tb00917.x
    [30] Sharma M. L., Kumar R., 2010. Estimation and implementations of conditional probabilities of occurrence of moderate earthquakes in India. Indian Journal of Science and Technology, 3(7): 807—816. doi: 10.17485/ijst/2010/v3i7.12
    [31] Shearer P. M., Stark P. B., 2012. Global risk of big earthquakes has not recently increased. Proceedings of the National Academy of Sciences of the United States of America, 109(3): 717—721. doi: 10.1073/pnas.1118525109
    [32] Tripathi J. N., 2006. Probabilistic assessment of earthquake recurrence in the January 26, 2001 earthquake region of Gujrat, India. Journal of Seismology, 10(1): 119—130. doi: 10.1007/s10950-005-9004-9
    [33] Tsai C. Y., Shieh C. F., 2008. A study of the time distribution of inter-cluster earthquakes in Taiwan. Physica A: Statistical Mechanics and its Applications, 387(22): 5561—5566. doi: 10.1016/j.physa.2008.05.023
    [34] Utsu T., 1984. Estimation of parameters for recurrence models of earthquakes. Bulletin of the Earthquake Research Institute, University of Tokyo, 59(1): 53—66.
    [35] Weibull W., Sweden S., 1951. A statistical distribution function of wide applicability. Journal of Applied Mechanics, 18(3): 293—297. doi: 10.1115/1.4010337
    [36] Working Group on California Earthquake Probabilities, 2013. The uniform California earthquake rupture forecast version 3 (UCERF 3)—The Time-Independent Model. (2013-11-05). http://pubs.usgs.gov/of/2013/1165/.
    [37] Xie Z. J., Li S. Y., Lyu Y. J., et al. 2021. Empirical relations for conversion of surface- and body-wave magnitudes to moment magnitudes in China’s seas and adjacent areas. Journal of Seismology, 25(1): 213–233. doi: 10.1007/s10950-020-09947-y
    [38] Zhou Y., Chechkin A., Sokolov I. M., et al., 2016. A model of return intervals between earthquake events. EPL (Europhysics Letters), 114(6): 60003. doi: 10.1209/0295-5075/114/60003
    [39] Zinn-Justin J., 2002. Quantum field theory and critical phenomena. 4th ed. Oxford: Oxford University Press.
  • 加载中
图(4) / 表(5)
计量
  • 文章访问数:  574
  • HTML全文浏览量:  74
  • PDF下载量:  41
  • 被引次数: 0
出版历程
  • 收稿日期:  2020-11-19
  • 网络出版日期:  2021-07-12
  • 刊出日期:  2021-03-01

目录

    /

    返回文章
    返回