• ISSN 1673-5722
  • CN 11-5429/P

低周反复荷载下Q460钢材框架柱抗震性能分析

刘宽 马煜东 黄娇 刘笑笑 苏佶智

刘宽, 马煜东, 黄娇, 刘笑笑, 苏佶智. 低周反复荷载下Q460钢材框架柱抗震性能分析[J]. 震灾防御技术, 2019, 14(3): 535-554. doi: 10.11899/zzfy20190307
引用本文: 刘宽, 马煜东, 黄娇, 刘笑笑, 苏佶智. 低周反复荷载下Q460钢材框架柱抗震性能分析[J]. 震灾防御技术, 2019, 14(3): 535-554. doi: 10.11899/zzfy20190307
Liu Kuan, Ma Yudong, Huang Jiao, Liu Xiaoxiao, Su Jizhi. Analysis of Seismic Performance of Q460 Steel Frame Columns under Low Cyclic Loading[J]. Technology for Earthquake Disaster Prevention, 2019, 14(3): 535-554. doi: 10.11899/zzfy20190307
Citation: Liu Kuan, Ma Yudong, Huang Jiao, Liu Xiaoxiao, Su Jizhi. Analysis of Seismic Performance of Q460 Steel Frame Columns under Low Cyclic Loading[J]. Technology for Earthquake Disaster Prevention, 2019, 14(3): 535-554. doi: 10.11899/zzfy20190307

低周反复荷载下Q460钢材框架柱抗震性能分析

doi: 10.11899/zzfy20190307
基金项目: 

国家自然科学基金 51578077

详细信息
    作者简介:

    刘宽, 男, 生于1991年。硕士研究生。主要从事结构抗震研究。E-mail:liukuan93@163.com

Analysis of Seismic Performance of Q460 Steel Frame Columns under Low Cyclic Loading

  • 摘要: 为了进一步完善Q460钢材在抗震设计规范中相关限值的要求,本文利用有限元软件ABAQUS,以轴压比、翼缘宽厚比、腹板高厚比和壁板宽厚比为变量,建立了共48根“工”字型框架柱和“箱”型框架柱,分析了其抗震性能。结果表明:翼缘宽厚比对框架柱的能量耗散系数影响较小;能量耗散系数随轴压比、腹板高厚比(“工”字型)和壁板宽厚比(“箱”型)增大而明显减小;框架柱的极限承载力随轴压比的减小及壁板宽厚比和翼缘宽厚比的增大而逐渐增大,当腹板高厚比接近规范限值时,承载力下降趋势明显增大。与采用Q235钢材的框架柱相比,Q460钢材框架柱的延性较小,仅为2左右;当采用Q460钢材时,“工”字型框架柱的极限位移角限值建议取为0.03,“箱”型框架柱的极限位移角限值建议取为0.032。规范中对翼缘宽厚比限值的规定偏于保守,其值最大可取至9。无论是“工”字型框架柱还是“箱”型框架柱,其腹板高厚比均不宜过大。Q460钢材框架柱的刚度退化率随轴压比的增大而增强,且翼缘宽厚比越大,腹板高厚比越小,柱的初始刚度越大,刚度退化程度越明显。
  • 图  1  柱计算简图及截面示意

    Figure  1.  Diagram and schematic section of column calculation

    图  2  Chaboche混合强化模型

    Figure  2.  Chaboche combined hardening model

    图  3  “工”字型柱、“箱”型柱网格划分

    Figure  3.  Division diagram of I-type column and box-type column grid

    图  4  柱加载示意

    Figure  4.  Column loading diagram

    图  5  试件H-0-1

    Figure  5.  Specimen H-0-1

    图  6  试件H-0-2

    Figure  6.  Specimen H-0-2

    图  7  试件H-0-3

    Figure  7.  Specimen H-0-3

    图  8  位移加载制度

    Figure  8.  Displacement loading system

    图  9  部分“工”字型钢柱滞回曲线

    Figure  9.  Hysteresis curve of partial I-type column

    图  10  部分“箱”型钢柱滞回曲线

    Figure  10.  Hysteresis curve of partial box-type column

    图  11  部分“工”字型柱耗能图

    Figure  11.  Energy consumption diagram of partial I-type column

    图  12  “箱”型柱耗能图

    Figure  12.  Energy consumption diagram of partial box-type column

    图  13  “工”字型截面框架柱骨架曲线

    Figure  13.  Skeleton Curve of Partial I-type Column

    图  14  “箱”型截面框架柱骨架曲线

    Figure  14.  Skeleton curve of partial box-type column

    图  15  位移-荷载骨架曲线

    Figure  15.  Skeleton curve of displacement-load

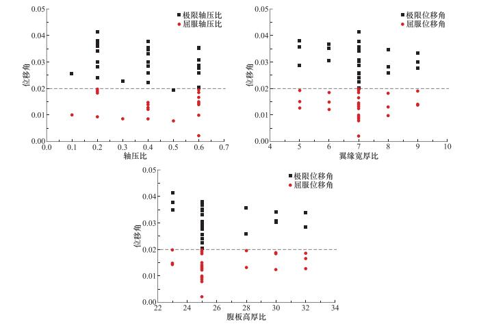
    图  16  “工”字型柱位移角的统计结果

    Figure  16.  Statistical results of displacement angle of I-type column

    图  17  “箱”型柱位移角的统计结果

    Figure  17.  Statistical results of displacement angle of box-type column

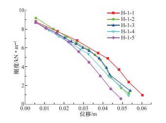
    图  18  “工”字型柱不同轴压比对应的刚度退化

    Figure  18.  Stiffness degradation of I-type column under different axial compression ratios

    图  19  “工”字型柱不同翼缘宽厚比对应的刚度退化

    Figure  19.  Stiffness degradation of I-type column under different flange width-thickness ratio

    图  20  “工”字型柱不同腹板高厚比对应的刚度退化

    Figure  20.  Stiffness degradation of I-type column under different web thickness ratio

    图  21  “箱”型柱不同轴压比对应刚度退化

    Figure  21.  Stiffness degradation of box-type column under different axial compression ratios

    图  22  “箱”型柱不同壁板宽厚比对应刚度退化

    Figure  22.  Stiffness degradation of box-type column under different panel wide heavy ratios

    表  1  钢材本构模型参数

    Table  1.   Steel constitutive model parameters

    钢材材性 $\sigma \left| {_0} \right.$/ N·mm-2 ${C_{{\rm{k}},1}}$/ N·mm-2 ${\gamma _1}$ ${C_{{\rm{k}},2}}$/ N·mm-2 ${\gamma _2}$ ${C_{{\rm{k}},3}}$/ N·mm-2 ${\gamma _3}$ ${C_{{\rm{k}},4}}$/ N·mm-2 ${\gamma _4}$
    Q460 474 4797 156 3794 145 1498 107
    Q345 429 7993 175 6773 116 2854 34 1450 29
    Q235 407 6013 173 5024 120 3026 32 990 35
    下载: 导出CSV

    表  2  试件参数

    Table  2.   Test piece parameters

    试件编号 H/mm B/mm tf/mm tw/mm b/tf h0/tw [b/tf] [h0/tw] n N/kN
    H-0-1 200 150 12 10 5.8 17.6 7.1 30.7 0.2 493.1
    H-0-2 300 180 12 10 7.1 27.6 7.1 30.7 0.2 651.4
    H-0-3 300 220 12 10 8.8 27.6 7.1 30.7 0.2 739.7
    下载: 导出CSV

    表  3  试件的位移荷载

    Table  3.   Displacement load of specimen

    试件编号 ${\delta _1}$/mm ${\delta _2}$/mm ${\delta _3}$/mm ${\delta _4}$/mm ${\delta _5}$/mm ${\delta _6}$/mm ${\delta _7}$/mm
    H-0-1 9 18 36 54 72 90 108
    H-0-2 6 12 24 36 48 60 72
    H-0-3 6 12 24 36 48 60 72
    下载: 导出CSV

    表  4  ABAQUS计算与试验结果的最大承载力对比

    Table  4.   Comparison of maximum bearing capacity between calculation and test

    构件编号 ABAQUS结果/kN 试验结果/kN 相差/%
    H-0-1 132 139 -5
    H-0-2 232 222 5.1
    H-0-3 305 294 3.7
    下载: 导出CSV

    表  5  “工”字型截面试件设计参数

    Table  5.   Design parameters of I-type specimen

    试件编号 b/mm h0/mm tw/mm tf/mm b/tf h0/tw λ L/mm n N/N
    H-1-1 178 250 10 12 7 25 30 1213 0.1 311.5
    H-1-2 178 250 10 12 7 25 30 1213 0.2 623.0
    H-1-3 178 250 10 12 7 25 30 1213 0.3 934.5
    H-1-4 178 250 10 12 7 25 30 1213 0.4 1246.0
    H-1-5 178 250 10 12 7 25 30 1213 0.5 1557.6
    H-1-6 178 250 10 12 7 25 30 1213 0.6 1869.1
    H-2-1 130 250 10 12 5 25 30 1183 0.4 1034.1
    H-2-2 154 250 10 12 6 25 30 1199 0.4 1140.1
    H-2-3 202 250 10 12 8 25 30 1224 0.4 1352.0
    H-2-4 226 250 10 12 9 25 30 1234 0.4 1458.0
    H-3-1 178 230 10 12 7 23 30 1088 0.4 1209.2
    H-3-2 178 280 10 12 7 28 30 1700 0.4 1301.2
    H-3-3 178 300 10 12 7 30 30 1524 0.4 1338.0
    H-3-4 178 320 10 12 7 32 30 1648 0.4 1374.8
    H-4-1 130 250 10 12 5 25 30 1183 0.2 517.0
    H-4-2 154 250 10 12 6 25 30 1199 0.2 570.0
    H-4-3 202 250 10 12 8 25 30 1524 0.2 676.0
    H-4-4 226 250 10 12 9 25 30 1534 0.2 729.0
    H-5-1 178 230 10 12 7 23 30 1088 0.2 604.6
    H-5-2 178 280 10 12 7 28 30 1400 0.2 650.6
    H-5-3 178 300 10 12 7 30 30 1524 0.2 669.0
    H-5-4 178 320 10 12 7 32 30 1648 0.2 687.4
    H-6-1 130 250 10 12 5 25 30 1183 0.6 1551.1
    H-6-2 154 250 10 12 6 25 30 1199 0.6 1710.1
    H-6-3 202 250 10 12 8 25 30 1224 0.6 2028.0
    H-6-4 226 250 10 12 9 25 30 1234 0.6 2187.0
    H-7-1 178 230 10 12 7 23 30 1088 0.6 1813.9
    H-7-2 178 280 10 12 7 28 30 1400 0.6 1951.9
    H-7-3 178 300 10 12 7 30 30 1524 0.6 2007.1
    H-7-4 178 320 10 12 7 32 30 1648 0.6 2062.3
    下载: 导出CSV

    表  6  “箱”型截面试件设计参数

    Table  6.   Designing parameters of box-type specimen

    试件编号 B/mm D/mm t/mm B/t [B/t] λ L/mm n N/N
    X-1-1 300 300 20 15 23.6 30 1573 0.1 533.6
    X-1-2 300 300 20 15 23.6 30 1573 0.2 1067.2
    X-1-3 300 300 20 15 23.6 30 1573 0.3 1600.8
    X-1-4 300 300 20 15 23.6 30 1573 0.4 2134.4
    X-1-5 300 300 20 15 23.6 30 1573 0.5 2668
    X-1-6 300 300 20 15 23.6 30 1573 0.6 3201.6
    X-2-1 260 260 20 13 23.6 30 1288 0.4 1840
    X-2-2 280 280 20 14 23.6 30 1430 0.4 1987.2
    X-2-3 320 320 20 16 23.6 30 1716 0.4 2281.6
    X-2-4 340 340 20 17 23.6 30 1859 0.4 2428.8
    X-3-1 260 260 20 13 23.6 30 1288 0.2 920
    X-3-2 280 280 20 14 23.6 30 1430 0.2 993.6
    X-3-3 320 320 20 16 23.6 30 1716 0.2 1140.8
    X-3-4 340 340 20 17 23.6 30 1859 0.2 1214.4
    X-4-1 260 260 20 13 23.6 30 1288 0.6 2760
    X-4-2 280 280 20 14 23.6 30 1430 0.6 2980.8
    X-4-3 320 320 20 16 23.6 30 1716 0.6 3422.4
    X-4-4 340 340 20 17 23.6 30 1859 0.6 3643.2
    下载: 导出CSV

    表  7  试件延性比计算结果

    Table  7.   Ductility ratio result of specimen from calculation

    截面形状 试件编号 延性比 试件编号 延性比 试件编号 延性比
    “工”字型 H-1-1 2.5256 H-3-1 2.5495 H-5-3 1.8175
    H-1-2 2.5596 H-3-2 1.9412 H-5-4 1.8245
    H-1-3 2.6382 H-3-3 2.4116 H-6-1 1.9092
    H-1-4 2.5034 H-3-4 2.2301 H-6-2 2.0477
    H-1-5 2.4784 H-4-1 1.9758 H-6-3 2.6084
    H-1-6 1.3040 H-4-2 1.9735 H-6-4 1.9906
    H-2-1 2.8007 H-4-3 1.5396 H-7-1 2.4463
    H-2-2 2.8804 H-4-4 1.5725 H-7-2 1.8307
    H-2-3 2.6508 H-5-1 2.0780 H-7-3 1.6720
    H-2-4 2.3611 H-5-2 1.8176 H-7-4 1.7206
    “箱”型 X-1-1 2.8794 X-2-1 2.4012 X-3-3 1.9370
    X-1-2 2.7504 X-2-2 1.6506 X-3-4 1.8464
    X-1-3 2.4262 X-2-3 1.8997 X-4-1 2.0211
    X-1-4 2.1488 X-2-4 1.6812 X-4-2 1.8577
    X-1-5 2.0218 X-3-1 2.0817 X-4-3 1.6825
    X-1-6 1.6233 X-3-2 2.1513 X-4-4 1.9984
    下载: 导出CSV

    表  8  “工”字型柱位移角取值

    Table  8.   The recommended value of displacement angle of I-type column

    n ${b_1}/{t_{\rm{f}}} \le 7\;且\;{h_0}/{t_{\rm{w}}} \le 28$ ${b_1}/{t_{\rm{f}}} > 7\;且\;{h_0}/{t_{\rm{w}}} > 28$
    n≤0.2 θ>0.035 0.035≥θ≥0.03
    0.2<n≤0.4 0.0375≥θ≥0.0325 0.035≥θ≥0.03
    0.4<n≤0.6 0.0325≥θ≥0.0275 0.03≥θ≥0.025
    n>0.6 0.03≥θ≥0.0275 0.0275≥θ≥0.025
    下载: 导出CSV

    表  9  “箱”型柱层间位移角的取值

    Table  9.   The recommended value of displacement angle of box-type column

    n $B/t \le 15$ $B/t > 15$
    n ≤0.2 θ>0.035 0.035≥θ≥0.04
    0.2<n ≤0.4 0.04≥θ≥0.035 0.035≥θ≥0.03
    0.4<n ≤0.6 0.035≥θ≥0.03 0.03≥θ≥0.025
    n>0.6 0.03≥θ≥0.025 0.025≥θ≥0.02
    下载: 导出CSV
  • 班慧勇, 施刚, 刘钊等, 2011.Q420等边角钢轴压杆整体稳定性能试验研究.建筑结构学报, 32(2):60-67, 112. http://d.old.wanfangdata.com.cn/Periodical/jzjgxb201102009
    郭子雄, 吕西林, 2004.高轴压比框架柱恢复力模型试验研究.土木工程学报, 37(5):32-38. http://d.old.wanfangdata.com.cn/Periodical/tmgcxb200405005
    李国强, 王彦博, 陈素文等, 2013.Q460C高强度钢柱滞回性能有限元分析.建筑结构学报, 34(3):87-92. http://d.old.wanfangdata.com.cn/Periodical/jzjgxb201303011
    施刚, 邓春森, 班慧勇等, 2012.Q460高强度钢材工字性压弯构件抗震性能的试验研究.土木工程学报, 45(9):53-61.
    施刚, 邓春森等, 2012.Q460高强度钢材工形压弯构件抗震性能的试验研究.土木工程学报, 10(4):28-38.
    王萌, 2013.强烈地震作用下钢框架的损伤退化行为.北京: 清华大学.
    王萌, 石永久, 王元清, 2013.考虑累积损伤退化的钢材等效本构模型研究.建筑结构学报, 34(10):73-83. http://d.old.wanfangdata.com.cn/Periodical/jzjgxb201310009
    中华人民共和国住房和城乡建设部, 中华人民共和国国家质量监督检验检疫总局, 2010.GB 50011-2010建筑抗震设计规范(附条文说明)(2016年版).北京: 中国建筑工业出版社.
    Chaboche J. L., 1986. Time-independent constitutive theories for cyclic plasticity. International Journal of Plasticity, 2(2):149-188. doi: 10.1016/0749-6419(86)90010-0
    Fukumoto Y., Kusama H., 1985. Local instability tests of plate elements under cyclic uniaxial loading. Journal of Structural Engineering, 111(5):1051-1067. doi: 10.1061/(ASCE)0733-9445(1985)111:5(1051)
    国际桥梁与结构工程协会.高性能钢材在钢结构中的应用.中国建筑工业出版社, 2010.
    Rasmussen K. J. R., Hancock G. J., 1992. Plate slenderness limits for high strength steel sections. Journal of Constructional Steel Research, 23(1-3):73-96. doi: 10.1016/0143-974X(92)90037-F
    Rasmussen K. J. R., Hancock G. J., 1995. Tests of high strength steel columns. Journal of Constructional Steel Research, 34(1):27-52. doi: 10.1016/0143-974X(95)97296-A
    Usami T., Fukumoto Y., 1984. Welded box compression members. Journal of Structural Engineering, 110(10):2457-2470. doi: 10.1061/(ASCE)0733-9445(1984)110:10(2457)
  • 加载中
图(22) / 表(9)
计量
  • 文章访问数:  161
  • HTML全文浏览量:  44
  • PDF下载量:  5
  • 被引次数: 0
出版历程
  • 收稿日期:  2018-10-09
  • 刊出日期:  2019-09-01

目录

    /

    返回文章
    返回